首页
考研
最新考研题库
中外美术史23新版
建筑类
二级建造师
一级建造师
一级造价工程师
监理工程师
安全工程师
一级消防工程师
消防设施操作员
医学类
主治类
执业药师
护师(初级)资格证考试
主管护师(中级)资格证考试
护士资格证考试
医师类
中药学类
金融类
基金从业资格
银行从业资格
证券从业资格
期货从业资格
银行招聘考试
财会类
初级经济师
中级经济师
初级会计师
中级会计师
注册会计师
税务师
资产评估师
教师类
中学教师笔试
小学教师笔试
幼儿教师笔试
幼儿结构化面试
幼儿专业面试
中小学结构化面试
学历提升
成考(专升本)
成考(高起本、高起专)
自考
网校课程
登录
注册好礼
我的主页
我的提问
我的回答
退出
当前位置:
首页
>
药学(士)
>
B1型题 单室模型静脉注射给药,体内药量随时间变化的关系式
单选
B1型题
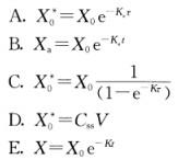
单室模型静脉注射给药,体内药量随时间变化的关系式
A A
B B
C C
D D
E E
正确答案
E
查看解析
搜索
相关试题
单选
肾上腺素的α型效应主要是
A A:皮肤、内脏血管收缩,血压升高 B B:产生缓慢持久的正性肌力作用 C C:扩张支气管 D D:减慢心率 E E:皮肤、内脏血管舒张
查看
单选
不宜用于变异型心绞痛的药物是
A A:硝酸甘油 B B:硝苯地平 C C:维拉帕米 D D:普萘洛尔 E E:硝酸异山梨酯
查看
单选
药物的安全指数是指
A A:ED<sub>50</sub>/LD<sub>50</sub> B B:LD<sub>5</sub>/ED<sub>95</sub> C C:ED<sub>5</sub>/LD<sub>95</sub> D D:LD<sub>50</sub>/ED<sub>50</sub> E E:LD<sub>95</sub>/ED<sub>50</sub>
查看
单选
乙酰胆碱作用的主要消除方式是
A A:被单胺氧化酶所破坏 B B:被磷酸二酯酶破坏 C C:被胆碱酯酶破坏 D D:被氧位甲基转移酶破坏 E E:被神经末梢再摄取
查看
单选
有关鼻黏膜给药的叙述不正确的是
A A:鼻黏膜内的丰富血管和鼻黏膜的高度渗透压有利于吸收 B B:可避开肝首过效应 C C:吸收程度和速度不如静脉注射 D D:鼻腔给药方便易行 E E:多肽类药物适宜以鼻黏膜给药
查看
单选
治疗梅毒、钩端螺旋体病的首选药物是
A A:红霉素 B B:四环素 C C:青霉素 D D:氯霉素 E E:诺氟沙星
查看
单选
雷尼替丁属于
A A:抗高血压药 B B:抗心律失常药 C C:抗消化性溃疡药 D D:抗酸药 E E:止吐药
查看
单选
局部麻醉作用最强、主要用于表面麻醉的药物是
A A:丁卡因 B B:普鲁卡因 C C:苯妥英钠 D D:利多卡因 E E:奎尼丁
查看
单选
对癫痫强直一阵挛性发作无效的药是
A A:乙琥胺 B B:苯妥英钠 C C:丙戊酸钠 D D:卡马西平 E E:苯巴比妥
查看
单选
属氨基苷类药物的是
A A:阿莫西林 B B:吡哌酸 C C:螺旋霉素 D D:利巴韦林 E E:庆大霉素
查看
刷题小程序
热门试卷
2025年药学士《基础知识》模拟卷1
2025年药学士《基础知识》模拟卷2
2025年药学士《基础知识》模拟卷3
2025年药学士《基础知识》模拟卷4
2025年药学士《基础知识》预测卷1
2025年药学士《基础知识》预测卷2
2025年药学士《相关专业知识》模拟卷1
2025年药学士《相关专业知识》模拟卷2
2025年药学士《相关专业知识》模拟卷3
2025年药学士《相关专业知识》模拟卷4
2025年药学士《专业实践能力》模拟卷1
2025年药学士《专业实践能力》模拟卷2
2025年药学士《专业实践能力》模拟卷3
2025年药学士《专业实践能力》模拟卷5
2025年药学士《专业知识》模拟卷1