首页
考研
最新考研题库
中外美术史23新版
建筑类
二级建造师
一级建造师
一级造价工程师
监理工程师
安全工程师
一级消防工程师
消防设施操作员
医学类
主治类
执业药师
护师(初级)资格证考试
主管护师(中级)资格证考试
护士资格证考试
医师类
中药学类
金融类
基金从业资格
银行从业资格
证券从业资格
期货从业资格
银行招聘考试
财会类
初级经济师
中级经济师
初级会计师
中级会计师
注册会计师
税务师
资产评估师
教师类
中学教师笔试
小学教师笔试
幼儿教师笔试
幼儿结构化面试
幼儿专业面试
中小学结构化面试
学历提升
成考(专升本)
成考(高起本、高起专)
自考
网校课程
登录
注册好礼
我的主页
我的提问
我的回答
退出
当前位置:
首页
>
药学(士)
>
B1型题 单室模型静脉滴注达稳态后停药,血药浓度随时间变化的公式是
单选
B1型题
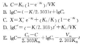
单室模型静脉滴注达稳态后停药,血药浓度随时间变化的公式是
A A
B B
C C
D D
E E
正确答案
D
查看解析
搜索
相关试题
单选
筒箭毒碱中毒宜选用的抢救药是
A A:毛果芸香碱 B B:东莨菪碱 C C:新斯的明 D D:毒扁豆碱 E E:阿托品
查看
单选
甲药对某受体有亲和力,无内在活性;乙药对该受体有亲和力,有内在活性,正确的是
A A:甲药为激动剂,乙药为拮抗剂 B B:甲药为拮抗剂,乙药为激动剂 C C:甲药为部分激动剂,乙药为激动剂 D D:甲药为部分激动剂,乙药为拮抗剂 E E:甲药为拮抗剂,乙药为部分激动剂
查看
单选
一线抗结核药不包括
A A:异烟肼 B B:利福平 C C:乙胺丁醇 D D:链霉素 E E:对氨基水杨酸
查看
单选
药物代谢反应的类型中不正确的是
A A:氧化反应 B B:水解反应 C C:结合反应 D D:取代反应 E E:还原反应
查看
单选
关于青霉素叙述正确的是
A A:口服不易被胃酸破坏,吸收多 B B:在体内主要分布在细胞内液 C C:在体内主要的消除方式是肝脏代谢 D D:丙磺舒可促进青霉素的排泄 E E:不耐酸、不耐青霉素酶、抗菌谱窄易引起变态反应
查看
单选
奥美拉唑属于
A A:H<sup>+</sup>,K<sup>+</sup>-ATP酶抑制剂 B B:H<sub>2</sub>受体阻断药 C C:M受体阻断药 D D:促胃液素受体阻断药 E E:以上都不对
查看
单选
糖皮质激素的药理作用不包括
A A:抗炎 B B:抗毒 C C:抗免疫 D D:抗休克 E E:降血糖
查看
单选
解热镇痛药抑制前列腺素(PG)合成的作用部位是
A A:抑制磷脂酶A<sub>2</sub> B B:抑制膜磷脂转化 C C:抑制花生四烯酸 D D:抑制环氧酶(COX) E E:抑制叶酸合成酶
查看
单选
对强心苷中毒引起的快速性心律失常疗效最好的药物是
A A:普萘洛尔 B B:维拉帕米 C C:苯妥英钠 D D:利多卡因 E E:胺碘酮
查看
单选
β受体阻断药诱发加重哮喘的原因是
A A:促进组胺释放 B B:阻断β受体,支气管平滑肌收缩 C C:拟胆碱作用 D D:抗组胺作用 E E:抗胆碱作用
查看
刷题小程序
热门试卷
2025年药学士《基础知识》模拟卷1
2025年药学士《基础知识》模拟卷2
2025年药学士《基础知识》模拟卷3
2025年药学士《基础知识》模拟卷4
2025年药学士《基础知识》预测卷1
2025年药学士《基础知识》预测卷2
2025年药学士《相关专业知识》模拟卷1
2025年药学士《相关专业知识》模拟卷2
2025年药学士《相关专业知识》模拟卷3
2025年药学士《相关专业知识》模拟卷4
2025年药学士《专业实践能力》模拟卷1
2025年药学士《专业实践能力》模拟卷2
2025年药学士《专业实践能力》模拟卷3
2025年药学士《专业实践能力》模拟卷5
2025年药学士《专业知识》模拟卷1