首页
考研
最新考研题库
中外美术史23新版
建筑类
二级建造师
一级建造师
一级造价工程师
监理工程师
安全工程师
一级消防工程师
消防设施操作员
医学类
主治类
执业药师
护师(初级)资格证考试
主管护师(中级)资格证考试
护士资格证考试
医师类
中药学类
金融类
基金从业资格
银行从业资格
证券从业资格
期货从业资格
银行招聘考试
财会类
初级经济师
中级经济师
初级会计师
中级会计师
注册会计师
税务师
资产评估师
教师类
中学教师笔试
小学教师笔试
幼儿教师笔试
幼儿结构化面试
幼儿专业面试
中小学结构化面试
学历提升
成考(专升本)
成考(高起本、高起专)
自考
网校课程
登录
注册好礼
我的主页
我的提问
我的回答
退出
当前位置:
首页
>
目标控制(水利工程)
>
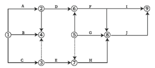
某工程双代号网络计划如下图。存在的错误有( )。
多选
某工程双代号网络计划如下图。存在的错误有( )。
A 多个起点节点
B 多个终点节点
C 存在循环回路
D 箭线上引出箭线
E 存在无箭头的工作
正确答案
ABD
查看解析
搜索
相关试题
单选
下列关于材料预算价格的说法中,错误的是()。
A 材料预算价格是指材料从供应地运到工地分仓库(或堆放场地)的出库价格 B 材料预算价格一般包括材料原价.运杂费.运输保险费3项 C 从工地的材料总库运到分仓库所发生的场内运杂费应计入材料预算价格 D 从工地分仓库到各施工点的运杂费在材料预算价格中不予计算
查看
单选
非正常型直方图中,导致折齿型的原因是( )。
A 由于将来自两个总体的数据混在一起所致 B 由于原材料或操作方法的显著变化所致 C 由于分组过多或组距太细所致 D 由于工序施工过程中的上控制界限或下控制界限控制太严所致
查看
单选
根据《水利水电工程单元工程施工质量验收评定标准土石方工程》,土方开挖的主要工序是( )。
A 表土清理 B 不良土质的处理 C 地质坑、孔处理 D 软基及土质岸坡开挖
查看
单选
隐蔽工程施工过程质量控制中,当承包人未通知监理单位到场检查,私自将工程隐蔽部位覆盖的,监理单位有权指示承包人钻孔探测或揭开检查,经验证质量合格,由此增加的费用和
A 勘察单位 B 承包人 C 发包人 D 监理单位
查看
单选
水工隧洞混凝土衬砌段的灌浆,应按先回填灌浆后固结灌浆的顺序进行,固结灌浆宜在该部位的回填灌浆结束( )d后进行。
A 7 B 14 C 21 D 28
查看
单选
水利工程质量检测机构的等级分为( )级。
A 4 B 3 C 2 D 1
查看
单选
关于自由时差和总时差,下列说法错误的是()。
A 自由时差为零,总时差必定为零 B 总时差为零,自由时差必定为零 C 在不影响总工期的前提下,工作的机动时间为总时差 D 在不影响紧后工作最早开始时间的前提下,工作的机动时间为自由时差
查看
单选
投资估算编制过程中,一般采用概算定额,同时还需考虑投资估算工作深度和精度,相应乘以扩大系数。其中,石方工程的扩大系数为( )。
A 3% B 5% C 10% D 12%
查看
单选
可组织质量检测等单位,依据相关规定编制检测方案的单位是( )。
A 监理单位 B 施工单位 C 竣工验收单位 D 项目法人
查看
单选
大型工程的单位工程外观质量评定中,参加工程外观质量评定的人员不宜少于( )人。
A 3 B 5 C 7 D 10
查看
刷题小程序
热门试卷
2022年监理工程师考试《建设工程目标控制(水利工程)》强化提分卷
2022年监理工程师考试《建设工程目标控制(水利工程)》临考密训卷
2021年监理工程师考试《建设工程目标控制(水利工程)》密训卷
2021年监理工程师考试《建设工程目标控制(水利工程)》模拟卷
2023目标控制(水利工程)模拟1
2023目标控制(水利工程)模拟2
2023目标控制(水利工程)模拟3
2023目标控制(水利工程)模拟4
2023目标控制(水利工程)押题密卷1
2023目标控制(水利工程)押题密卷2
2023目标控制(水利工程)押题密卷3
2023目标控制(水利工程)押题密卷4
2023目标控制(水利工程)押题密卷5
2023目标控制(水利工程)押题密卷6
2024年监理工程师《监理目标控制(水利工程)》模拟题库1