分析

案例题 某工程项目,发包人与承包人依据《水利水电土建工程施工合同条件》签订了施工承包合同,工程的合同价汇总表如下:

合同中规定:
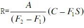
(1)工程预付款的总额为合同价格的10%,开工前由发包人一次性付清;工程预付款按合同条件32.1款中的公式

扣还,其中F1=20%,F2=90%;
(2)发包人从第一次支付工程进度款起按10%的比例扣保留金,直至保留金总额达到合同价的5%为止;
(3)物价调整采用调价公式法;
合同执行过程中,由于发包人违约合同解除。合同解除是的情况为:
(1)承包人已完成合同金额1200万元;
(2)合同履行期间价格调整差额系数为0.02;
(3)承包人为工程合理订购的某种材料尚有库存价值50万元;
(4)承包人为本工程订购的专用永久工程设备,已经签订了订货合同,合同价为50万元,并已支付合同定金10万元;
(5)承包人已完成一个合同内新增项目100万元(按当时市场价格计算的);
(6)承包人已完成计日工10万元;
(7)承包人的全部进场费为32万元;
(8)承包人的全部设备撤回承包人基地的费用为20万元;由于部分设备用到承包人承包的其它工程上使用(合同中未规定),增加撤回费用5万元;
(9)承包人人员遣返总费用为10万元;
(10)承包人已完成的各类工程款和计日工等,发包人均已按合同规定支付。
(11)解除合同时,发包人与承包人协商确定:由于解除合同造成的承包人的进场费、设备撤回、人员遣返等费用损失,按未完成合同工程价款占合同价格的比例计算。
<1> 、合同解除时,承包人已经得到多少工程款?
<2> 、合同解除时,发包人应总共支付承包人多少金额?(包括已经支付的和还应支付的)
<3> 、合同解除时,发包人应进一步支付承包人多少金额?

正确答案
1.合同解除时,承包人已经得到工程款
(1)发包人应该支付的款项金额:
承包人已经完成的合同金额1200万元,新增项目100万元,计日工10万元
价格调整差额=(1200+10)×0.02=24.2万元
工程预付款=2513.0818×10%=251.31万元
发包人应支付的款项金额=1200+100+10+24.2+251.31=1585.51万元
(2)发包人应扣的款项金额:
工程预付款扣还R=(1310-0.2×2513.0818)×2513.0818×10%/[(0.9-0.2)×2513.0818]=115.34万元
扣保留金=1310×10%=131万元,2513.0818×5%=125.65万元(保留金额总额)
发包人应扣款项的金额=115.34+125.65=240.99万元
承包商已经得到的工程款=应支付的款项金额-应扣除的款项金额=1585.51-240.99=1344.52万元

2. 合同解除时,发包人应总共支付承包人金额
承包人已完成的合同金额1200万元,新增项目100万元,计日工10万元
价格调整差额=(1200+10)×0.02=24.2万元
承包人的库存材料50万元(一旦支付,材料归发包人所有)
承包人订购设备定金10万元
承包人设备、人员遣返和进场费损失补偿=(2513.0818-1200)/2513.0818×(20+10+32)=27.90万元
利润损失补偿=(2513.0818-1200)×4.69%/(1+4.69%)=58.81万元
发包人应总支付承包人金额=1200+100+10+24.2+50+10+27.90+58.81=1480.91万元
3.发包人应进一步支付承包人金额=总共应支付承包人金额-承包人已经得到的工程款=1480.91-1344.52=136.39万元
查看解析

相关试题

刷题小程序
案例分析(水利工程)题库小程序
热门试卷