1.计算每10m3毛石护坡人工消耗量及机械台班消耗量。
答案:(1)完成每10m3毛石护坡的人工消耗量为:

考虑人工消耗量的变化幅度差10%,则W1=11.25×(1+10%)=12.375(工日)。
(2)完成每10m3毛石护坡的机械台班消耗量为:
砂浆拌合机每小时循环次数n=(60×60)÷(60+120+40+20)=15(次)。
台班产量定额为8×15×0.2×0.80=19.200(m3/台班)。
每m3砂浆所需机械台班消耗量为(1+15%)÷19.20=0.060(台班/m3)。
每10m3砌体机械台班消耗量为W2=0.060×4.30=0.258(台班)。
2.计算各月结算时每10m3材料费实际应为多少?
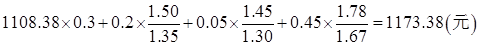
答案:(1)每10m3砌体的基期材料费为:4.30×100+11.30×60+0.76×0.5=1108.38(元)。
(2)各月每10m3砌体的实际材料费:
4月份:

5月份:
3.计算该护坡工程直接费。
答案:(1)4月份工程直接费:

(2)5月份工程直接费:
