首页
考研
最新考研题库
中外美术史23新版
建筑类
二级建造师
一级建造师
一级造价工程师
监理工程师
安全工程师
一级消防工程师
消防设施操作员
医学类
主治类
执业药师
护师(初级)资格证考试
主管护师(中级)资格证考试
护士资格证考试
医师类
中药学类
金融类
基金从业资格
银行从业资格
证券从业资格
期货从业资格
银行招聘考试
财会类
初级经济师
中级经济师
初级会计师
中级会计师
注册会计师
税务师
资产评估师
教师类
中学教师笔试
小学教师笔试
幼儿教师笔试
幼儿结构化面试
幼儿专业面试
中小学结构化面试
学历提升
成考(专升本)
成考(高起本、高起专)
自考
网校课程
登录
注册好礼
我的主页
我的提问
我的回答
退出
当前位置:
首页
>
目标控制(土木建筑)
>
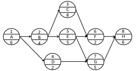
某工程单代号网络计划如下图所示(图中节点上方数字为节点编号),其中关键线路是()。
多选
某工程单代号网络计划如下图所示(图中节点上方数字为节点编号),其中关键线路是()。
A A-B-C-H
B A-B-C-F-H
C A-B-E-F-H
D A-B-E-G-H
E A-D-G-H
正确答案
BD
查看解析
搜索
相关试题
单选
对于按照规定需要验收的危大工程,施工单位、监理单位应当组织相关人员进行验收。验收合格的,经( )及总监理工程师签字确认后,方可进入下一道工序。
A 施工单位项目技术负责人 B 建设单位项目负责人 C 施工单位项目经理 D 专业监理工程师
查看
单选
工程质量控制按实施主体不同分为自控主体和监控主体,下列属于监控主体的是( )。
A 设计单位 B 施工单位 C 监理单位 D 勘察单位
查看
单选
在工程施工准备阶段,图纸会审会议纪要由( )负责整理,与会各方会签。
A 设计单位 B 监理单位 C 施工单位 D 建设单位
查看
单选
下列工程质量控制主体中,属于监控主体的是( )。
A 勘察设计单位 B 施工单位 C 材料供应单位 D 监理单位
查看
单选
下列造成质量波动的原因中,属于偶然性原因的是()。
A 现场温湿度的微小变化 B 机械设备过度磨损 C 材料质量规格显著差异 D 工人未遵守操作规程
查看
单选
关于设备采购质量控制的说法,正确的是( )。
A 市场采购设备,主要用于非标准设备的采购 B 向生产厂家订购设备,质量控制工作的首要环节是选择一个合格供货厂商 C 招标采购设备,一般用于标准设备的采购 D 建设单位直接采购设备的,设备采购方案由设备安装单位编制
查看
单选
工程设计阶段,监理单位协助建设单位组织施工图设计评审时,评审的重点是()。
A 使用功能是否满足质量目标和标准 B 施工进度能否实现 C 经济评价是否合理 D 设计标准是否符合预定要求
查看
单选
极差的作用是( )。
A 用数据变动的幅度来反映其分散状况的特征值 B 反映数据变异程度的特征性 C 表示数据的相对离散波动程度 D 表示数据的代表性
查看
单选
在混凝土结构实体检测中,现浇混凝土板厚度检测方法为( )。
A 回弹仪 B 超声回弹综合法 C 取芯法 D 超声波对测法
查看
单选
用于工程的()采购的主要设备应经建设单位,施工单位,项目监理机构与供货方共同进行开箱检查,并共同在开箱检查记录上签字,合格的方可使用。
A 建设单位 B 施工单位 C 安装单位 D 代理商
查看
刷题小程序
热门试卷
2022年监理工程师考试《建设工程目标控制(土木建筑工程)》临考密训卷
2022年监理工程师考试《建设工程目标控制(土木建筑工程)》强化提分卷
2022年监理工程师考试《建设工程目标控制(土木建筑工程)》全真模拟卷
2022年监理工程师考试《建设工程目标控制(土木建筑工程)》密训卷(符合2022版新教材)
2022年监理工程师考试《建设工程目标控制(土木建筑工程)》冲刺卷(符合2022版新教材)
2022年监理工程师考试《建设工程目标控制(土木建筑工程)》模拟卷(符合2022版新教材)
监理工程师《 目标控制土木建筑》模拟卷1
监理工程师《 目标控制土木建筑》模拟卷2
监理工程师《 目标控制土木建筑》模拟卷3
监理工程师《 目标控制土木建筑》押题密卷1
监理工程师《 目标控制土木建筑》押题密卷2
监理工程师《 目标控制土木建筑》押题密卷3
监理工程师《 目标控制土木建筑》押题密卷4
监理工程师《 目标控制土木建筑》押题密卷5
监理工程师《 目标控制土木建筑》押题密卷6