首页
考研
最新考研题库
中外美术史23新版
建筑类
二级建造师
一级建造师
一级造价工程师
监理工程师
安全工程师
一级消防工程师
消防设施操作员
医学类
主治类
执业药师
护师(初级)资格证考试
主管护师(中级)资格证考试
护士资格证考试
医师类
中药学类
金融类
基金从业资格
银行从业资格
证券从业资格
期货从业资格
银行招聘考试
财会类
初级经济师
中级经济师
初级会计师
中级会计师
注册会计师
税务师
资产评估师
教师类
中学教师笔试
小学教师笔试
幼儿教师笔试
幼儿结构化面试
幼儿专业面试
中小学结构化面试
学历提升
成考(专升本)
成考(高起本、高起专)
自考
网校课程
登录
注册好礼
我的主页
我的提问
我的回答
退出
当前位置:
首页
>
目标控制(土木建筑)
>
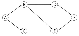
某工程单代号网络计划如下图所示,图中工作B的总时差是指在不影响( )的前提下所具有的机动时间。
单选
某工程单代号网络计划如下图所示,图中工作B的总时差是指在不影响( )的前提下所具有的机动时间。
A 工作D最迟开始时间
B 工作E最早开始时间
C 工作D、E最迟开始时间
D 工作D、E最早开始时间
正确答案
C
查看解析
搜索
相关试题
单选
对招投标承发包活动的依法监督和工程合同内容的规范性管理属于()的管理职能。
A 建设单位 B 政府 C 施工单位 D 监理单位
查看
单选
在正常使用条件下,建设工程的最低保修期限规定错误的是( )。
A 外墙面的防渗漏为2年 B 供热与供冷系统,为2个采暖期、供冷期 C 电气管线、给水排水管道、设备安装为2年 D 装修工程为2年
查看
单选
关于工程质量检测报告的确认和归档的说法,正确的是( )。
A 经建设单位或工程监理单位确认后,由检测单位归档 B 经建设单位或工程监理单位确认后,由施工单位归档 C 经质量监督机构或建设单位确认后,由工程监理单位归档 D 经质量监督机构或建设单位确认后,由施工单位归档
查看
单选
除国务院建设行政主管部门确定的限额以下的小型工程外,工程施工许可证应在工程()向工程所在地县级以上人民政府建设行政主管部门申请领取。
A 开工前,由施工单位 B 招标前,由建设单位 C 招标前,由施工单位 D 开工前,由建设单位
查看
单选
监理单位要制定具体的、可测量的质量目标是在( )给定的原则框架下。
A 质量战略 B 质量手册 C 质量方针 D 质量计划
查看
单选
确定质量管理体系范围是监理单位建立质量管理体系是必须考虑的前提之一,其目的是( )。
A 为组织结构调整提供依据 B 界定体系的边界和应用范围 C 确定体系对质量方针的适应性 D 确保体系运行持续受控
查看
单选
卓越绩效模式强调以系统的观点来管理整个组织及关键过程,这种系统管理的基本方法是( )。
A 反馈方法 B 过程方法 C 评价方法 D 监督方法
查看
单选
监理企业的质量管理体系各文件之间的支持关系必须清晰,程序文件的支持性文件是( )。
A 作业文件 B 质量手册 C 质量方针 D 质量记录
查看
单选
卓越绩效模式强调大质量观,下列说法中正确的是( )。
A 仅包括产品、服务的质量 B 不包括企业的经营质量 C 包括产品、服务质量,工作过程、体系的质量及企业的经营质量 D 仅包括工作过程和工作体系的质量
查看
单选
在质量管理排列图中,对应于累计频率曲线80%~90%部分的因素,属于()影响因素。
A 一般 B 主要 C 次要 D 其他
查看
刷题小程序
热门试卷
2022年监理工程师考试《建设工程目标控制(土木建筑工程)》临考密训卷
2022年监理工程师考试《建设工程目标控制(土木建筑工程)》强化提分卷
2022年监理工程师考试《建设工程目标控制(土木建筑工程)》全真模拟卷
2022年监理工程师考试《建设工程目标控制(土木建筑工程)》密训卷(符合2022版新教材)
2022年监理工程师考试《建设工程目标控制(土木建筑工程)》冲刺卷(符合2022版新教材)
2022年监理工程师考试《建设工程目标控制(土木建筑工程)》模拟卷(符合2022版新教材)
监理工程师《 目标控制土木建筑》模拟卷1
监理工程师《 目标控制土木建筑》模拟卷2
监理工程师《 目标控制土木建筑》模拟卷3
监理工程师《 目标控制土木建筑》押题密卷1
监理工程师《 目标控制土木建筑》押题密卷2
监理工程师《 目标控制土木建筑》押题密卷3
监理工程师《 目标控制土木建筑》押题密卷4
监理工程师《 目标控制土木建筑》押题密卷5
监理工程师《 目标控制土木建筑》押题密卷6