首页
考研
最新考研题库
中外美术史23新版
建筑类
二级建造师
一级建造师
一级造价工程师
监理工程师
安全工程师
一级消防工程师
消防设施操作员
医学类
主治类
执业药师
护师(初级)资格证考试
主管护师(中级)资格证考试
护士资格证考试
医师类
中药学类
金融类
基金从业资格
银行从业资格
证券从业资格
期货从业资格
银行招聘考试
财会类
初级经济师
中级经济师
初级会计师
中级会计师
注册会计师
税务师
资产评估师
教师类
中学教师笔试
小学教师笔试
幼儿教师笔试
幼儿结构化面试
幼儿专业面试
中小学结构化面试
学历提升
成考(专升本)
成考(高起本、高起专)
自考
网校课程
登录
注册好礼
我的主页
我的提问
我的回答
退出
当前位置:
首页
>
数学三
>
问答题 设函数f(x)具有2阶导数,且f′(0)=f′(1),|f″(x)|≤1,证明: (1)当x∈(0,1)时,;
分析
问答题 设函数f(x)具有2阶导数,且f′(0)=f′(1),|f″(x)|≤1,证明:
(1)当x∈(0,1)时,
;
(2)
。
正确答案
(1)证明:令g(x)=f(0)(1-x)+f(1)x。
令
。
因为F(0)=0,F(1)=0。
且F″(x)=f″(x)+1≥0。(|f″(x)|≤1)
所以F(x)为凹函数,因此F(x)≥0。
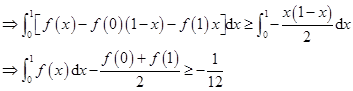
所以
。
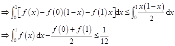
令
。
因为F(0)=0,F(1)=0。
且F″(x)=f″(x)-1≤0。(|f″(x)|≤1)
所以F(x)为凸函数,因此F(x)≥0。
所以
。
综上,
。
(2)由(1)中
由第(1)中
综上,
。
查看解析
搜索
相关试题
单选
设,k为整数,则I的值( )。
A A.只与a有关 B B.只与k有关 C C.与a、k均有关 D D.与a、k均无关
查看
单选
设f(x,y)是连续函数,则( )。
A A.<img border="0" alt="" src="https://tuku.weimei168.com/uploads/upimg/20241129/22497246_0_1.png"> B B.<img border="0" alt="" src="https://tuku.weimei168.com/uploads/upimg/20241129/22497246_0_2.png"> C C.<img border="0" alt="" src="https://tuku.weimei168.com/uploads/upimg/20241129/22497246_0_3.png"> D D.<img border="0" alt="" src="https://tuku.weimei168.com/uploads/upimg/20241129/22497246_0_4.png">
查看
单选
设幂级函数的和函数为ln(2+x),则( )。
A A.<img border="0" alt="" src="https://tuku.weimei168.com/uploads/upimg/20241129/22497247_0_2.png"> B B.<img border="0" alt="" src="https://tuku.weimei168.com/uploads/upimg/20241129/22497247_0_3.png"> C C.<img border="0" alt="" src="https://tuku.weimei168.com/uploads/upimg/20241129/22497247_0_4.png"> D D.<img border="0" alt="" src="https://tuku.weimei168.com/uploads/upimg/20241129/22497247_0_5.png">
查看
单选
设函数,则f(x)( )。
A A.在x=1,x=-1处都连续 B B.在x=1处连续,x=-1处不连续 C C.在x=1,x=-1处都不连续 D D.在x=1处不连续,x=-1处连续
查看
单选
设二次型在正交变换下可化成,则二次型f的矩阵A的行列式与迹分别为( )。
A A.-6,-2 B B.6,-2 C C.-6,2 D D.6,2
查看
单选
设A为3阶矩阵,,若,则A=( )。
A A.<img border="0" alt="" src="https://tuku.weimei168.com/uploads/upimg/20241129/22497249_0_2.png"> B B.<img border="0" alt="" src="https://tuku.weimei168.com/uploads/upimg/20241129/22497249_0_3.png"> C C.<img border="0" alt="" src="https://tuku.weimei168.com/uploads/upimg/20241129/22497249_0_4.png"> D D.<img border="0" alt="" src="https://tuku.weimei168.com/uploads/upimg/20241129/22497249_0_5.png">
查看
单选
随机变量X、Y相互独立,其中X~N(0,2),Y~N(-1,1),记p1=P{2X>Y},p2=P{X-2Y>1},则( )。
A A.<img border="0" alt="" src="https://tuku.weimei168.com/uploads/upimg/20241129/22497252_0.png"> B B.<img border="0" alt="" src="https://tuku.weimei168.com/uploads/upimg/20241129/22497252_0_1.png"> C C.<img border="0" alt="" src="https://tuku.weimei168.com/uploads/upimg/20241129/22497252_0_2.png"> D D.<img border="0" alt="" src="https://tuku.weimei168.com/uploads/upimg/20241129/22497252_0_3.png">
查看
单选
设矩阵,Mij表示A的i行j列元素的余子式。若,且-M21+M22-M23=0,则( )。
A A.a=0或<img border="0" alt="" src="https://tuku.weimei168.com/uploads/upimg/20241129/22497250_0_2.png"> B B.a=0或<img border="0" alt="" src="https://tuku.weimei168.com/uploads/upimg/20241129/22497250_0_3.png"> C C.b=1或<img border="0" alt="" src="https://tuku.weimei168.com/uploads/upimg/20241129/22497250_0_4.png"> D D.b=-1或<img border="0" alt="" src="https://tuku.weimei168.com/uploads/upimg/20241129/22497250_0_5.png">
查看
单选
设随机变量X的概率密度为,则X的三阶中心距E(X-EX)3=( )。
A A.<img border="0" alt="" src="https://tuku.weimei168.com/uploads/upimg/20241129/22497251_0_1.png"> B B.0 C C.<img border="0" alt="" src="https://tuku.weimei168.com/uploads/upimg/20241129/22497251_0_2.png"> D D.<img border="0" alt="" src="https://tuku.weimei168.com/uploads/upimg/20241129/22497251_0_3.png">
查看
单选
设随机变量X,Y相互独立,且均服从参数为λ的指数分布,令Z=|X-Y|,则下列随机变量与Z同分布的是( )。
A A.X+Y B B.<img border="0" alt="" src="https://tuku.weimei168.com/uploads/upimg/20241129/22497253_0.png"> C C.2X D D.X
查看
刷题小程序
热门试卷
2022年全国硕士研究生招生考试《数学三》真题及解析
2021年全国硕士研究生招生考试《数学三》真题及解析
2020年全国硕士研究生招生考试《数学三》真题及解析
2019年全国硕士研究生招生考试《数学三》真题及解析
2018年全国硕士研究生招生考试《数学三》真题及解析
2017年全国硕士研究生招生考试《数学三》真题及解析
2016年全国硕士研究生招生考试《数学三》真题及解析
2023年全国硕士研究生招生考试《数学三》真题及解析
2024年全国硕士研究生招生考试《数学三》真题及解析