分析

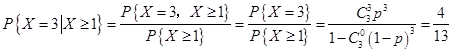
填空题 设随机试验每次成功的概率为P,现进行3次独立重复试验,在至少成功1次的条件下,3次试验全部成功的概率为,则P=___________。

正确答案
设随机变量X表示三次试验中成功的次数,则X~B(3,p)。
所以,
故可得:
查看解析

相关试题

单选
设,k为整数,则I的值( )。
A A.只与a有关 B B.只与k有关 C C.与a、k均有关 D D.与a、k均无关
查看
单选
设f(x,y)是连续函数,则( )。
A A.<img border="0" alt="" src="https://tuku.weimei168.com/uploads/upimg/20241129/22497246_0_1.png"> B B.<img border="0" alt="" src="https://tuku.weimei168.com/uploads/upimg/20241129/22497246_0_2.png"> C C.<img border="0" alt="" src="https://tuku.weimei168.com/uploads/upimg/20241129/22497246_0_3.png"> D D.<img border="0" alt="" src="https://tuku.weimei168.com/uploads/upimg/20241129/22497246_0_4.png">
查看
单选
设幂级函数的和函数为ln(2+x),则( )。
A A.<img border="0" alt="" src="https://tuku.weimei168.com/uploads/upimg/20241129/22497247_0_2.png"> B B.<img border="0" alt="" src="https://tuku.weimei168.com/uploads/upimg/20241129/22497247_0_3.png"> C C.<img border="0" alt="" src="https://tuku.weimei168.com/uploads/upimg/20241129/22497247_0_4.png"> D D.<img border="0" alt="" src="https://tuku.weimei168.com/uploads/upimg/20241129/22497247_0_5.png">
查看
单选
设函数,则f(x)( )。
A A.在x=1,x=-1处都连续 B B.在x=1处连续,x=-1处不连续 C C.在x=1,x=-1处都不连续 D D.在x=1处不连续,x=-1处连续
查看
单选
设二次型在正交变换下可化成,则二次型f的矩阵A的行列式与迹分别为( )。
A A.-6,-2 B B.6,-2 C C.-6,2 D D.6,2
查看
单选
设A为3阶矩阵,,若,则A=( )。
A A.<img border="0" alt="" src="https://tuku.weimei168.com/uploads/upimg/20241129/22497249_0_2.png"> B B.<img border="0" alt="" src="https://tuku.weimei168.com/uploads/upimg/20241129/22497249_0_3.png"> C C.<img border="0" alt="" src="https://tuku.weimei168.com/uploads/upimg/20241129/22497249_0_4.png"> D D.<img border="0" alt="" src="https://tuku.weimei168.com/uploads/upimg/20241129/22497249_0_5.png">
查看
单选
随机变量X、Y相互独立,其中X~N(0,2),Y~N(-1,1),记p1=P{2X>Y},p2=P{X-2Y>1},则( )。
A A.<img border="0" alt="" src="https://tuku.weimei168.com/uploads/upimg/20241129/22497252_0.png"> B B.<img border="0" alt="" src="https://tuku.weimei168.com/uploads/upimg/20241129/22497252_0_1.png"> C C.<img border="0" alt="" src="https://tuku.weimei168.com/uploads/upimg/20241129/22497252_0_2.png"> D D.<img border="0" alt="" src="https://tuku.weimei168.com/uploads/upimg/20241129/22497252_0_3.png">
查看
单选
设矩阵,Mij表示A的i行j列元素的余子式。若,且-M21+M22-M23=0,则( )。
A A.a=0或<img border="0" alt="" src="https://tuku.weimei168.com/uploads/upimg/20241129/22497250_0_2.png"> B B.a=0或<img border="0" alt="" src="https://tuku.weimei168.com/uploads/upimg/20241129/22497250_0_3.png"> C C.b=1或<img border="0" alt="" src="https://tuku.weimei168.com/uploads/upimg/20241129/22497250_0_4.png"> D D.b=-1或<img border="0" alt="" src="https://tuku.weimei168.com/uploads/upimg/20241129/22497250_0_5.png">
查看
单选
设随机变量X的概率密度为,则X的三阶中心距E(X-EX)3=( )。
A A.<img border="0" alt="" src="https://tuku.weimei168.com/uploads/upimg/20241129/22497251_0_1.png"> B B.0 C C.<img border="0" alt="" src="https://tuku.weimei168.com/uploads/upimg/20241129/22497251_0_2.png"> D D.<img border="0" alt="" src="https://tuku.weimei168.com/uploads/upimg/20241129/22497251_0_3.png">
查看
单选
设随机变量X,Y相互独立,且均服从参数为λ的指数分布,令Z=|X-Y|,则下列随机变量与Z同分布的是( )。
A A.X+Y B B.<img border="0" alt="" src="https://tuku.weimei168.com/uploads/upimg/20241129/22497253_0.png"> C C.2X D D.X
查看
刷题小程序
数学三题库小程序