首页
考研
最新考研题库
中外美术史23新版
建筑类
二级建造师
一级建造师
一级造价工程师
监理工程师
安全工程师
一级消防工程师
消防设施操作员
医学类
主治类
执业药师
护师(初级)资格证考试
主管护师(中级)资格证考试
护士资格证考试
医师类
中药学类
金融类
基金从业资格
银行从业资格
证券从业资格
期货从业资格
银行招聘考试
财会类
初级经济师
中级经济师
初级会计师
中级会计师
注册会计师
税务师
资产评估师
教师类
中学教师笔试
小学教师笔试
幼儿教师笔试
幼儿结构化面试
幼儿专业面试
中小学结构化面试
学历提升
成考(专升本)
成考(高起本、高起专)
自考
网校课程
登录
注册好礼
我的主页
我的提问
我的回答
退出
当前位置:
首页
>
数学二
>
问答题 设t>0,平面有界区域D由曲线与直线x=t,x=2t及x轴围成,D绕x轴旋转一周所成旋转体的体积为V(t),求V
分析
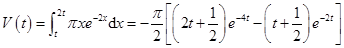
问答题 设t>0,平面有界区域D由曲线
与直线x=t,x=2t及x轴围成,D绕x轴旋转一周所成旋转体的体积为V(t),求V(t)的最大值。
正确答案
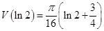
则V′(t)=-πte-2t(1-4e-2t),令V′(t)=0,可得t=ln2。
因为t∈(ln2-δ,ln2)有V′(t)>0,t∈(ln2,ln2+δ)有V′(t)<0,所以t=ln2为V(t)的极大值点即最大值点。
故最大值为
。
查看解析
搜索
相关试题
单选
设函数y=f(x)由参数方程确定,则( )。
A A.2e B B.<img border="0" alt="" src="https://tuku.weimei168.com/uploads/upimg/20241129/22497224_0_1.png"> C C.<img border="0" alt="" src="https://tuku.weimei168.com/uploads/upimg/20241129/22497224_0_2.png"> D D.<img border="0" alt="" src="https://tuku.weimei168.com/uploads/upimg/20241129/22497224_0_3.png">
查看
单选
设函数,,则( )。
A A.f(x)是奇函数,g(x)是奇函数 B B.f(x)是奇函数,g(x)是偶函数 C C.f(x)是偶函数,g(x)是偶函数 D D.f(x)是偶函数,g(x)是奇函数
查看
单选
已知函数,则在点(0,0)处( )。
A A.<img border="0" alt="" src="https://tuku.weimei168.com/uploads/upimg/20241129/22497227_0.png">连续,f(x,y)可微 B B.<img border="0" alt="" src="https://tuku.weimei168.com/uploads/upimg/20241129/22497227_0_1.png">连续,f(x,y)不可微 C C.<img border="0" alt="" src="https://tuku.weimei168.com/uploads/upimg/20241129/22497227_0_2.png">不连续,f(x,y)可微 D D.<img border="0" alt="" src="https://tuku.weimei168.com/uploads/upimg/20241129/22497227_0_3.png">不连续,f(x,y)不可微
查看
单选
函数的第一类间断点的个数是( )。
A A.3 B B.2 C C.1 D D.0
查看
单选
已知数列{an}(an≠0),若{an}发散,则( )。
A A.<img border="0" alt="" src="https://tuku.weimei168.com/uploads/upimg/20241129/22497226_0.png">发散 B B.<img border="0" alt="" src="https://tuku.weimei168.com/uploads/upimg/20241129/22497226_0_1.png">发散 C C.<img border="0" alt="" src="https://tuku.weimei168.com/uploads/upimg/20241129/22497226_0_2.png">发散 D D.<img border="0" alt="" src="https://tuku.weimei168.com/uploads/upimg/20241129/22497226_0_3.png">发散
查看
单选
设f(x,y)是连续函数,则( )。
A A.<img border="0" alt="" src="https://tuku.weimei168.com/uploads/upimg/20241129/22497228_0_1.png"> B B.<img border="0" alt="" src="https://tuku.weimei168.com/uploads/upimg/20241129/22497228_0_2.png"> C C.<img border="0" alt="" src="https://tuku.weimei168.com/uploads/upimg/20241129/22497228_0_3.png"> D D.<img border="0" alt="" src="https://tuku.weimei168.com/uploads/upimg/20241129/22497228_0_4.png">
查看
单选
设A为3阶矩阵,,若,则A=( )。
A A.<img border="0" alt="" src="https://tuku.weimei168.com/uploads/upimg/20241129/22497230_0.png"> B B.<img border="0" alt="" src="https://tuku.weimei168.com/uploads/upimg/20241129/22497230_0_2.png"> C C.<img border="0" alt="" src="https://tuku.weimei168.com/uploads/upimg/20241129/22497230_0_3.png"> D D.<img border="0" alt="" src="https://tuku.weimei168.com/uploads/upimg/20241129/22497230_0_4.png">
查看
单选
设非负函数f(x)在[0,+∞)上连续,给出以下三个命题: ①若收敛,则收敛。 ②若存在p>1,使得存在,则收敛。 ③若收敛,则存在p>1,使得存在。 其中真命
A A.0 B B.1 C C.2 D D.3
查看
单选
设A为4阶矩阵,A*为A的伴随矩阵,若A(A-A*)=0,且A≠A*,则r(A)取值为( )。
A A.0或1 B B.1或3 C C.2或3 D D.1或2
查看
单选
设A、B为2阶矩阵,且AB=BA,则“A有两个不相等的特征值”是“B可对角化”的( )。
A A.充分必要条件 B B.充分不必要条件 C C.必要不充分条件 D D.既不充分也不必要条件
查看
刷题小程序
热门试卷
2022年全国硕士研究生招生考试《数学二》真题及解析
2021年全国硕士研究生招生考试《数学二》真题及解析
2014年全国硕士研究生招生考试《数学二》真题及解析
2020年全国硕士研究生招生考试《数学二》真题及解析
2019年全国硕士研究生招生考试《数学二》真题及解析
2018年全国硕士研究生招生考试《数学二》真题及解析
2017年全国硕士研究生招生考试《数学二》真题及解析
2016年全国硕士研究生招生考试《数学二》真题及解析
2023年全国硕士研究生招生考试《数学二》真题及解析
2024年全国硕士研究生招生考试《数学二》真题及解析