分析

问答题 已知函数f(u,v)具有2阶连续偏导数,且函数g(x,y)=f(2x+y,3x-y)满足
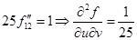
(1)求
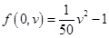
(2)若,求f(u,v)的表达式。

正确答案
(1)

代入原方程:
(2)因为
又因为
所以
因为
所以
查看解析

相关试题

单选
设函数y=f(x)由参数方程确定,则( )。
A A.2e B B.<img border="0" alt="" src="https://tuku.weimei168.com/uploads/upimg/20241129/22497224_0_1.png"> C C.<img border="0" alt="" src="https://tuku.weimei168.com/uploads/upimg/20241129/22497224_0_2.png"> D D.<img border="0" alt="" src="https://tuku.weimei168.com/uploads/upimg/20241129/22497224_0_3.png">
查看
单选
设函数,,则( )。
A A.f(x)是奇函数,g(x)是奇函数 B B.f(x)是奇函数,g(x)是偶函数 C C.f(x)是偶函数,g(x)是偶函数 D D.f(x)是偶函数,g(x)是奇函数
查看
单选
已知函数,则在点(0,0)处( )。
A A.<img border="0" alt="" src="https://tuku.weimei168.com/uploads/upimg/20241129/22497227_0.png">连续,f(x,y)可微 B B.<img border="0" alt="" src="https://tuku.weimei168.com/uploads/upimg/20241129/22497227_0_1.png">连续,f(x,y)不可微 C C.<img border="0" alt="" src="https://tuku.weimei168.com/uploads/upimg/20241129/22497227_0_2.png">不连续,f(x,y)可微 D D.<img border="0" alt="" src="https://tuku.weimei168.com/uploads/upimg/20241129/22497227_0_3.png">不连续,f(x,y)不可微
查看
单选
函数的第一类间断点的个数是( )。
A A.3 B B.2 C C.1 D D.0
查看
单选
已知数列{an}(an≠0),若{an}发散,则( )。
A A.<img border="0" alt="" src="https://tuku.weimei168.com/uploads/upimg/20241129/22497226_0.png">发散 B B.<img border="0" alt="" src="https://tuku.weimei168.com/uploads/upimg/20241129/22497226_0_1.png">发散 C C.<img border="0" alt="" src="https://tuku.weimei168.com/uploads/upimg/20241129/22497226_0_2.png">发散 D D.<img border="0" alt="" src="https://tuku.weimei168.com/uploads/upimg/20241129/22497226_0_3.png">发散
查看
单选
设f(x,y)是连续函数,则( )。
A A.<img border="0" alt="" src="https://tuku.weimei168.com/uploads/upimg/20241129/22497228_0_1.png"> B B.<img border="0" alt="" src="https://tuku.weimei168.com/uploads/upimg/20241129/22497228_0_2.png"> C C.<img border="0" alt="" src="https://tuku.weimei168.com/uploads/upimg/20241129/22497228_0_3.png"> D D.<img border="0" alt="" src="https://tuku.weimei168.com/uploads/upimg/20241129/22497228_0_4.png">
查看
单选
设A为3阶矩阵,,若,则A=( )。
A A.<img border="0" alt="" src="https://tuku.weimei168.com/uploads/upimg/20241129/22497230_0.png"> B B.<img border="0" alt="" src="https://tuku.weimei168.com/uploads/upimg/20241129/22497230_0_2.png"> C C.<img border="0" alt="" src="https://tuku.weimei168.com/uploads/upimg/20241129/22497230_0_3.png"> D D.<img border="0" alt="" src="https://tuku.weimei168.com/uploads/upimg/20241129/22497230_0_4.png">
查看
单选
设非负函数f(x)在[0,+∞)上连续,给出以下三个命题: ①若收敛,则收敛。 ②若存在p>1,使得存在,则收敛。 ③若收敛,则存在p>1,使得存在。 其中真命
A A.0 B B.1 C C.2 D D.3
查看
单选
设A为4阶矩阵,A*为A的伴随矩阵,若A(A-A*)=0,且A≠A*,则r(A)取值为( )。
A A.0或1 B B.1或3 C C.2或3 D D.1或2
查看
单选
设A、B为2阶矩阵,且AB=BA,则“A有两个不相等的特征值”是“B可对角化”的( )。
A A.充分必要条件 B B.充分不必要条件 C C.必要不充分条件 D D.既不充分也不必要条件
查看
刷题小程序
数学二题库小程序