首页
考研
最新考研题库
中外美术史23新版
建筑类
二级建造师
一级建造师
一级造价工程师
监理工程师
安全工程师
一级消防工程师
消防设施操作员
医学类
主治类
执业药师
护师(初级)资格证考试
主管护师(中级)资格证考试
护士资格证考试
医师类
中药学类
金融类
基金从业资格
银行从业资格
证券从业资格
期货从业资格
银行招聘考试
财会类
初级经济师
中级经济师
初级会计师
中级会计师
注册会计师
税务师
资产评估师
教师类
中学教师笔试
小学教师笔试
幼儿教师笔试
幼儿结构化面试
幼儿专业面试
中小学结构化面试
学历提升
成考(专升本)
成考(高起本、高起专)
自考
网校课程
登录
注册好礼
我的主页
我的提问
我的回答
退出
当前位置:
首页
>
数学一
>
问答题 已知数列{xn},{yn},{zn}满足x0=-1,y0=0,z0=2,且 ,记,写出满足的矩阵A,并求An及x
分析
问答题 已知数列{xn},{yn},{zn}满足x0=-1,y0=0,z0=2,且
,记
,写出满足
的矩阵A,并求An及xn,yn,zn。
正确答案
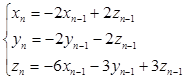
由题设得
,即
,故
。
由
,即
,得λ1=0,λ2=1,λ3=-2。
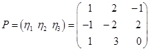
当λ1=0时,Ax=0,可得基础解系为:η1=(1,-1,1)T。
当λ2=1时,(E-A)x=0,可得基础解系为:η2=(2,-2,3)T。
当λ3=-2时,(-2E-A)x=0,可得基础解系为:η3=(-1,2,0)T。
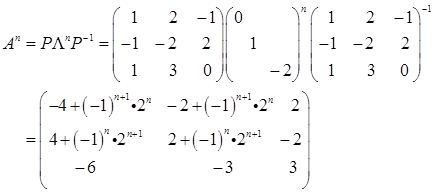
故存在可逆矩阵
,使
,即
,则
由
,得
则xn=8+(-2)n,yn=-8+(-2)n+1,zn=12。
查看解析
搜索
相关试题
单选
设P=P(x,y,z),Q=Q(x,y,z)均为连续函数,∑为曲面的上侧,则( )。
A A.<img border="0" alt="" src="https://tuku.weimei168.com/uploads/upimg/20241129/22497176_0_2.png"> B B.<img border="0" alt="" src="https://tuku.weimei168.com/uploads/upimg/20241129/22497176_0_3.png"> C C.<img border="0" alt="" src="https://tuku.weimei168.com/uploads/upimg/20241129/22497176_0_4.png"> D D.<img border="0" alt="" src="https://tuku.weimei168.com/uploads/upimg/20241129/22497176_0_5.png">
查看
单选
已知幂级数的和函数为ln(2+x),则( )。
A A.<img border="0" alt="" src="https://tuku.weimei168.com/uploads/upimg/20241129/22497177_0_2.png"> B B.<img border="0" alt="" src="https://tuku.weimei168.com/uploads/upimg/20241129/22497177_0_3.png"> C C.<img border="0" alt="" src="https://tuku.weimei168.com/uploads/upimg/20241129/22497177_0_4.png"> D D.<img border="0" alt="" src="https://tuku.weimei168.com/uploads/upimg/20241129/22497177_0_5.png">
查看
单选
在空间直角坐标系O-xyz中,三张平面πi:aix+biy+ciz=di(i=1,2,3)的位置关系如图所示,记αi=(ai,bi,ci),βi=(ai,bi,
A A.m=1,n=2 B B.m=n=2 C C.m=2,n=3 D D.m=n=3
查看
单选
设A是秩为2的3阶矩阵,α是满足Aα=0的非零向量,若对满足βTα=0的3维列向量β,均有Aβ=β,则( )。
A A.A3的迹为2 B B.A3的迹为5 C C.A2的迹为8 D D.A2的迹为9
查看
单选
已知函数,,则( )。
A A.f(x)是奇函数,g(x)是偶函数 B B.f(x)是偶函数,g(x)是奇函数 C C.f(x)与g(x)均为奇函数 D D.f(x)与g(x)均为周期函数
查看
单选
设函数f(x)在区间(-1,1)上有定义,且,则( )。
A A.当<img border="0" alt="" src="https://tuku.weimei168.com/uploads/upimg/20241129/22497178_0_1.png">时,f′(0)=2m B B.当f′(0)=m时,<img border="0" alt="" src="https://tuku.weimei168.com/uploads/upimg/20241129/22497178_0_2.png"> C C.当<img border="0" alt="" src="https://tuku.weimei168.com/uploads/upimg/20241129/22497178_0_3.png">时,f′(0)=m D D.当f′(0)=m时,<img border="0" alt="" src="https://tuku.weimei168.com/uploads/upimg/20241129/22497178_0_4.png">
查看
单选
设向量,,,若α1,α2,α3线性相关,且其中任意两个向量均线性无关,则( )。
A A.a=1,b≠-1 B B.a=1,b=-1 C C.a≠-2,b=2 D D.a=-2,b=2
查看
单选
设随机变量X、Y相互独立,且X服从正态分布N(0,2),Y服从正态分布N(-2,2),若P{2X+Y<a}=P{X>Y},则a=( )。{
A A.<img border="0" alt="" src="https://tuku.weimei168.com/uploads/upimg/20241129/22497181_0.png"> B B.<img border="0" alt="" src="https://tuku.weimei168.com/uploads/upimg/20241129/22497181_0_1.png"> C C.<img border="0" alt="" src="https://tuku.weimei168.com/uploads/upimg/20241129/22497181_0_2.png"> D D.<img border="0" alt="" src="https://tuku.weimei168.com/uploads/upimg/20241129/22497181_0_3.png">
查看
单选
设随机变量X的概率密度为,在X=x(0<x<1)的条件下,随机变量Y服从区间(x,1)上的均匀分布,则Cov(X,Y)=( )。
A A.<img border="0" alt="" src="https://tuku.weimei168.com/uploads/upimg/20241129/22497182_0_1.png"> B B.<img border="0" alt="" src="https://tuku.weimei168.com/uploads/upimg/20241129/22497182_0_2.png"> C C.<img border="0" alt="" src="https://tuku.weimei168.com/uploads/upimg/20241129/22497182_0_3.png"> D D.<img border="0" alt="" src="https://tuku.weimei168.com/uploads/upimg/20241129/22497182_0_4.png">
查看
单选
设随机变量X、Y相互独立,且均服从参数为λ的指数分布,令Z=|X-Y|,则下列随机变量与Z同分布的是( )。
A A.X+Y B B.<img border="0" alt="" src="https://tuku.weimei168.com/uploads/upimg/20241129/22497183_0.png"> C C.2X D D.X
查看
刷题小程序
热门试卷
2022年全国硕士研究生招生考试《数学一》真题及解析
2021年全国硕士研究生招生考试《数学一》真题及解析
2020年全国硕士研究生招生考试《数学一》真题及解析
2019年全国硕士研究生招生考试《数学一》真题及解析
2018年全国硕士研究生招生考试《数学一》真题及解析
2017年全国硕士研究生招生考试《数学一》真题及解析
2016年全国硕士研究生招生考试《数学一》真题及解析
2023年全国硕士研究生招生考试《数学一》真题及解析
2024年全国硕士研究生招生考试《数学一》真题及解析