(1)对于z=f(x,y)=x3+y3-(x+y)2+3,有zx′(1,1)=-1,zy′(1,1)=-1,从而曲面在点(1,1,1)处的一个法向量为n=(-zx′,-zy′,1)=(1,1,1),得该点处曲面的切平面方程为x+y+z=3。
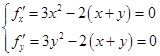
(2)在xOy平面中,区域D:x+y≤3,x≥0,y≥0,在D内部求驻点,解方程组

得

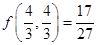
,有

。
在边界y=0,0<x<3上,对于f(x,0)=x3-x2+3,解得其驻点

,有

。
在边界x=0,0<y<3上,对于f(0,y)=y3-y2+3,解得其驻点

,有

。
在边界x+y=3,0<x<3上,对于f(x,3-x)=x3+(3-x)3-6,解得其驻点

,有

。
在边界顶点,有f(0,0)=3,f(3,0)=f(0,3)=21。
综上,得f(x,y)在D上的最大值为f(3,0)=f(0,3)=21,最小值为

。