分析

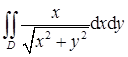
问答题 已知平面区域,计算

正确答案
由于积分区域关于x轴对称,被积函数关于y为偶函数,故可得:
查看解析

相关试题

单选
设P=P(x,y,z),Q=Q(x,y,z)均为连续函数,∑为曲面的上侧,则( )。
A A.<img border="0" alt="" src="https://tuku.weimei168.com/uploads/upimg/20241129/22497176_0_2.png"> B B.<img border="0" alt="" src="https://tuku.weimei168.com/uploads/upimg/20241129/22497176_0_3.png"> C C.<img border="0" alt="" src="https://tuku.weimei168.com/uploads/upimg/20241129/22497176_0_4.png"> D D.<img border="0" alt="" src="https://tuku.weimei168.com/uploads/upimg/20241129/22497176_0_5.png">
查看
单选
已知幂级数的和函数为ln(2+x),则( )。
A A.<img border="0" alt="" src="https://tuku.weimei168.com/uploads/upimg/20241129/22497177_0_2.png"> B B.<img border="0" alt="" src="https://tuku.weimei168.com/uploads/upimg/20241129/22497177_0_3.png"> C C.<img border="0" alt="" src="https://tuku.weimei168.com/uploads/upimg/20241129/22497177_0_4.png"> D D.<img border="0" alt="" src="https://tuku.weimei168.com/uploads/upimg/20241129/22497177_0_5.png">
查看
单选
在空间直角坐标系O-xyz中,三张平面πi:aix+biy+ciz=di(i=1,2,3)的位置关系如图所示,记αi=(ai,bi,ci),βi=(ai,bi,
A A.m=1,n=2 B B.m=n=2 C C.m=2,n=3 D D.m=n=3
查看
单选
设A是秩为2的3阶矩阵,α是满足Aα=0的非零向量,若对满足βTα=0的3维列向量β,均有Aβ=β,则( )。
A A.A3的迹为2 B B.A3的迹为5 C C.A2的迹为8 D D.A2的迹为9
查看
单选
已知函数,,则( )。
A A.f(x)是奇函数,g(x)是偶函数 B B.f(x)是偶函数,g(x)是奇函数 C C.f(x)与g(x)均为奇函数 D D.f(x)与g(x)均为周期函数
查看
单选
设函数f(x)在区间(-1,1)上有定义,且,则( )。
A A.当<img border="0" alt="" src="https://tuku.weimei168.com/uploads/upimg/20241129/22497178_0_1.png">时,f′(0)=2m B B.当f′(0)=m时,<img border="0" alt="" src="https://tuku.weimei168.com/uploads/upimg/20241129/22497178_0_2.png"> C C.当<img border="0" alt="" src="https://tuku.weimei168.com/uploads/upimg/20241129/22497178_0_3.png">时,f′(0)=m D D.当f′(0)=m时,<img border="0" alt="" src="https://tuku.weimei168.com/uploads/upimg/20241129/22497178_0_4.png">
查看
单选
设向量,,,若α1,α2,α3线性相关,且其中任意两个向量均线性无关,则( )。
A A.a=1,b≠-1 B B.a=1,b=-1 C C.a≠-2,b=2 D D.a=-2,b=2
查看
单选
设随机变量X、Y相互独立,且X服从正态分布N(0,2),Y服从正态分布N(-2,2),若P{2X+Y<a}=P{X>Y},则a=( )。{
A A.<img border="0" alt="" src="https://tuku.weimei168.com/uploads/upimg/20241129/22497181_0.png"> B B.<img border="0" alt="" src="https://tuku.weimei168.com/uploads/upimg/20241129/22497181_0_1.png"> C C.<img border="0" alt="" src="https://tuku.weimei168.com/uploads/upimg/20241129/22497181_0_2.png"> D D.<img border="0" alt="" src="https://tuku.weimei168.com/uploads/upimg/20241129/22497181_0_3.png">
查看
单选
设随机变量X的概率密度为,在X=x(0<x<1)的条件下,随机变量Y服从区间(x,1)上的均匀分布,则Cov(X,Y)=( )。
A A.<img border="0" alt="" src="https://tuku.weimei168.com/uploads/upimg/20241129/22497182_0_1.png"> B B.<img border="0" alt="" src="https://tuku.weimei168.com/uploads/upimg/20241129/22497182_0_2.png"> C C.<img border="0" alt="" src="https://tuku.weimei168.com/uploads/upimg/20241129/22497182_0_3.png"> D D.<img border="0" alt="" src="https://tuku.weimei168.com/uploads/upimg/20241129/22497182_0_4.png">
查看
单选
设随机变量X、Y相互独立,且均服从参数为λ的指数分布,令Z=|X-Y|,则下列随机变量与Z同分布的是( )。
A A.X+Y B B.<img border="0" alt="" src="https://tuku.weimei168.com/uploads/upimg/20241129/22497183_0.png"> C C.2X D D.X
查看
刷题小程序
数学一题库小程序