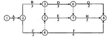
1.该双代号网络计划共由 5 条线路组成,分别是:
线路 1:①→②→③→⑥→⑧,持续时间之和为 15 个月;
线路 2:①→②→③→⑥→⑦→⑧,持续时间之和为 18 个月;
线路 3:①→②→③→⑤→⑦→⑧,持续时间之和为 17 个月;
线路 4:①→②→④→⑧,持续时间之和为 13 个月;
线路 5:①→②→④→⑤→⑦→⑧,持续时间之和为 16 个月。
该施工进度计划的总工期为 18 个月,关键线路为①→②→③→⑥→⑦→⑧。
2.合同责任分析:
事件 1 的责任由施工单位承担。施工单位提出的费用补偿和工期顺延不能成立。
事件 2 的责任由建设单位承担。施工单位提出的费用补偿和工期顺延可以成立。
事件 3 的责任由建设单位承担。施工单位提出的费用补偿可以成立,提出工期顺延不能成立。
事件 4 的责任由建设单位和施工单位分别承担。施工单位提出的费用补偿可以成立,工期顺延不能成立。
事件 5 的责任由施工单位承担。施工单位提出的费用补偿和工期顺延不能成立。
3.总监理工程师应批准施工单位顺延的工期是 1 个月。
理由:事件 2 增加的新工作 K 会影响工期 1 个月。
4.总监理工程师批准施工单位工期顺延后的双代号网络施工进度计划图如下图。

图:批准工期顺延后的双代号网络施工进度计划图(单位:月)