首页
考研
最新考研题库
中外美术史23新版
建筑类
二级建造师
一级建造师
一级造价工程师
监理工程师
安全工程师
一级消防工程师
消防设施操作员
医学类
主治类
执业药师
护师(初级)资格证考试
主管护师(中级)资格证考试
护士资格证考试
医师类
中药学类
金融类
基金从业资格
银行从业资格
证券从业资格
期货从业资格
银行招聘考试
财会类
初级经济师
中级经济师
初级会计师
中级会计师
注册会计师
税务师
资产评估师
教师类
中学教师笔试
小学教师笔试
幼儿教师笔试
幼儿结构化面试
幼儿专业面试
中小学结构化面试
学历提升
成考(专升本)
成考(高起本、高起专)
自考
网校课程
登录
注册好礼
我的主页
我的提问
我的回答
退出
当前位置:
首页
>
建设工程施工管理
>
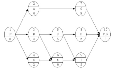
某单代号网络计划如下图所示(时间单位:天),其计算工期是( )天。
单选
某单代号网络计划如下图所示(时间单位:天),其计算工期是( )天。
A 15
B 12
C 11
D 10
正确答案
A
查看解析
搜索
相关试题
单选
影响建设工程进度的不利因素有很多,其中最大的干扰因素是( )。
A 人为因素 B 技术因素 C 设备、材料及构配件因素 D 资金因素
查看
单选
下列对于流水施工的垂直图表示法描述不正确的是( )。
A 施工过程及其先后顺序表达清楚 B 时间和空间状况形象直观 C 斜向进度线的斜率可以直观地表示出各施工过程的进展速度 D 纵坐标表示施工过程的所处的空间位置或里程
查看
单选
使用因果分析图法分析工程质量特性或问题,通常以( )的方式进行,集思广益,共同分析。
A 技术攻关 B 操作比赛 C 质量检查 D QC小组活动
查看
单选
依据《绿色施工导则》,关于绿色施工管理措施的说法错误的是( )。
A 施工现场应分别对生活用水与工程用水确定用水定额指标,并分别计量管理 B 建设单位应制定建筑垃圾减量化计划 C 绿色施工方案应在施工组织设计中独立成章,并按有关规定进行审批 D 合理布置施工场地,保护生活及办公区不受施工活动的有害影响
查看
单选
材料消耗定额指标按其使用性质、用途和用量大小分类,不包括下列( )。
A 主要材料 B 辅助材料 C 周转性材料 D 耐用性材料
查看
单选
关于《职业健康安全管理体系 要求及使用指南》GB/T 45001—2020的总体结构及内容中组织和领导的说法,正确的是( )。
A 组织应界定职业健康安全管理体系的边界和适用性 B 组织应建立、实施并保持职业健康安全方针 C 最高管理者应按标准的要求建立、实施、保持和持续改进职业健康安全管理体系 D 最高管理者应建立、实施和保持过程,用于在职业健康安全管理体系应用中工作人员的协商和参与
查看
单选
工程项目生命期包含( )两个阶段。
A 可行性研究和建设实施 B 投资决策和建设实施 C 建设实施和运营维护 D 投资决策和运营维护
查看
单选
政府质量监督机构对工程质量行为进行检查的主要内容是( )。
A 审查施工组织设计 B 对地基基础进行监督检测 C 对主体结构混凝土强度进行抽检 D 审查各方工程质量保证体系的建立及运行情况
查看
单选
某工程在2023年6月15日出售招标文件,规定投标文件提交截止日期为2023年7月15日,在2023年7月6日招标人修改了招标文件中的最高投标限价。对此情况招标
A 将投标文件提交的截止日期仍确定为2023年7月15日 B 将投标文件提交的截止日期延长到2023年7月21日 C 将投标文件提交的截止日期延长到2023年7月26日 D 宣布此次招标失败,重新组织招标
查看
单选
根据《标准施工招标文件》,合同文件的优先解释顺序是( )。
A 技术标准和要求-图纸-已标价工程量清单-投标函及其附录 B 投标函及其附录-已标价工程量清单-技术标准和要求-图纸 C 技术标准和要求-投标函及其附录-图纸-已标价工程量清单 D 投标函及其附录-技术标准和要求-图纸-已标价工程量清单
查看
刷题小程序
热门试卷
2022年二级建造师考试《建设工程施工管理》密训卷
2022年二级建造师考试《建设工程施工管理》冲刺卷(二)
2022年二级建造师考试《建设工程施工管理》冲刺卷(一)
2022年二级建造师考试《建设工程施工管理》模拟卷(三)
2022年二级建造师考试《建设工程施工管理》模拟卷(二)
2022年二级建造师考试《建设工程施工管理》模拟卷(一)
2022年二级建造师考试《建设工程施工管理》机考模拟演练卷(一)(符合2022年新版教材)
2022年二级建造师考试《建设工程施工管理》机考模拟演练卷(二)(符合2022年新版教材)
2022年二级建造师考试《建设工程施工管理》密训卷(符合2022年新版教材)
2022年二级建造师考试《建设工程施工管理》冲刺卷(二)(符合2022年新版教材)
二级建造师《建设工程施工管理》预测一
二级建造师《建设工程施工管理》预测二
二级建造师《建设工程施工管理》预测三
二级建造师《建设工程施工管理》预测四
二级建造师《建设工程施工管理》预测五