首页
考研
最新考研题库
中外美术史23新版
建筑类
二级建造师
一级建造师
一级造价工程师
监理工程师
安全工程师
一级消防工程师
消防设施操作员
医学类
主治类
执业药师
护师(初级)资格证考试
主管护师(中级)资格证考试
护士资格证考试
医师类
中药学类
金融类
基金从业资格
银行从业资格
证券从业资格
期货从业资格
银行招聘考试
财会类
初级经济师
中级经济师
初级会计师
中级会计师
注册会计师
税务师
资产评估师
教师类
中学教师笔试
小学教师笔试
幼儿教师笔试
幼儿结构化面试
幼儿专业面试
中小学结构化面试
学历提升
成考(专升本)
成考(高起本、高起专)
自考
网校课程
登录
注册好礼
我的主页
我的提问
我的回答
退出
当前位置:
首页
>
建设工程施工管理
>
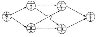
某工程单代号网络图如下图所示,其关键线路为( )。
单选
某工程单代号网络图如下图所示,其关键线路为( )。
A 1—2—4—6
B 1—3—4—6
C 1—3—5—6
D 1—2—5—6
正确答案
C
查看解析
搜索
相关试题
单选
工程开工时间是指该工程( )中规定的任何一项( )工程第一次正式破土开槽开始施工的时间。不需开槽的工程,正式开始( )的时间就是开工时间。
A 设计文件;决定性;打桩 B 施工文件;永久性;地基浇筑 C 施工文件;决定性;地基浇筑 D 设计文件;永久性;打桩
查看
单选
下列投资项目中,实行审批制管理的是( )。
A 政府投资项目 B 企业投资项目 C 私人投资项目 D 外商投资项目
查看
单选
关于施工总承包管理特点的说法,正确的是( )。
A 支付给分包单位的款项由业主直接支付,不经过总承包管理单位 B 由业主选定的分包单位可以不接受施工总承包管理的工作指令 C 对分包单位的质量控制主要由施工总承包管理单位进行 D 总承包管理单位除了收取管理费以外,还可赚总包与分包之间的差价
查看
单选
比较法是施工成本分析的基本方法之一,其常用的比较形式是( )。
A 本期实际指标与上期目标指标对比 B 上期实际指标与本期目标指标对比 C 本期实际指标与上期实际指标对比 D 上期目标指标与本期目标指标对比
查看
单选
根据《国务院关于调整和完善固定资产投资项目资本金制度的通知》,对于城市轨道交通项目,项目资本金占项目总投资的最低比例是( )。
A 20% B 25% C 30% D 35%
查看
单选
根据《注册监理工程师管理规定》,下列选项中,不属于专业监理工程师职责的是( )。
A 处置发现的质量问题和安全事故隐患 B 检查工序施工结果 C 验收检验批、隐蔽工程、分项工程,参与验收分部工程 D 参与工程竣工预验收和竣工验收
查看
单选
保障性住房项目的最低资本金比例是( )。
A 15% B 20% C 25% D 30%
查看
单选
某建筑公司在施工准备阶段编制的,是项目经理的技术成本目标。落实项目经理责任目标为出发点,采用企业施工定额的。则该阶段所编制的成本计划类型属于( )。
A 竞争性成本计划 B 指导性成本计划 C 实施性成本计划 D 按成本分解的成本计划
查看
单选
根据《建设工程质量管理条例》,下列建设工程中,必须实行监理的是( )。
A 地方重点建设工程 B 利用外国组织援助资金的工程 C 大型公用事业工程 D 成片开发的商业写字楼
查看
单选
下列施工项目管理组织结构形式中,能够实现集权与分权最优结合的是( )。
A 直线式 B 职能式 C 直线职能式 D 矩阵式
查看
刷题小程序
热门试卷
2022年二级建造师考试《建设工程施工管理》密训卷
2022年二级建造师考试《建设工程施工管理》冲刺卷(二)
2022年二级建造师考试《建设工程施工管理》冲刺卷(一)
2022年二级建造师考试《建设工程施工管理》模拟卷(三)
2022年二级建造师考试《建设工程施工管理》模拟卷(二)
2022年二级建造师考试《建设工程施工管理》模拟卷(一)
2022年二级建造师考试《建设工程施工管理》机考模拟演练卷(一)(符合2022年新版教材)
2022年二级建造师考试《建设工程施工管理》机考模拟演练卷(二)(符合2022年新版教材)
2022年二级建造师考试《建设工程施工管理》密训卷(符合2022年新版教材)
2022年二级建造师考试《建设工程施工管理》冲刺卷(二)(符合2022年新版教材)
二级建造师《建设工程施工管理》预测一
二级建造师《建设工程施工管理》预测二
二级建造师《建设工程施工管理》预测三
二级建造师《建设工程施工管理》预测四
二级建造师《建设工程施工管理》预测五