首页
考研
最新考研题库
中外美术史23新版
建筑类
二级建造师
一级建造师
一级造价工程师
监理工程师
安全工程师
一级消防工程师
消防设施操作员
医学类
主治类
执业药师
护师(初级)资格证考试
主管护师(中级)资格证考试
护士资格证考试
医师类
中药学类
金融类
基金从业资格
银行从业资格
证券从业资格
期货从业资格
银行招聘考试
财会类
初级经济师
中级经济师
初级会计师
中级会计师
注册会计师
税务师
资产评估师
教师类
中学教师笔试
小学教师笔试
幼儿教师笔试
幼儿结构化面试
幼儿专业面试
中小学结构化面试
学历提升
成考(专升本)
成考(高起本、高起专)
自考
网校课程
登录
注册好礼
我的主页
我的提问
我的回答
退出
当前位置:
首页
>
建设工程施工管理
>
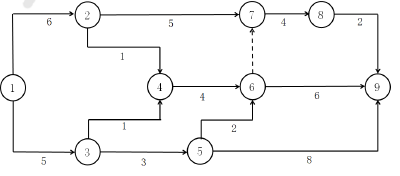
某工程双代号网络计划如下图所示(时间单位:周)其中关键线路有( )条。
单选
某工程双代号网络计划如下图所示(时间单位:周)其中关键线路有( )条。
A 1
B 3
C 2
D 4
正确答案
B
查看解析
搜索
相关试题
单选
根据《建设工程监理规范》GB/T50319—2013,可以由总监理工程师代表完成的工作是( )。
A 组织编制监理规划 B 签发工程暂停令 C 签发工程款支付证书 D 组织验收分部工程
查看
单选
下列工程项目管理组织结构中,结构简单。隶属关系明确,便于统一指挥,决策迅速的是( )。
A 直线制 B 矩阵制 C 职能制 D 直线职能制
查看
单选
施工单位应在( ),立即成立项目实施策划领导小组。
A 获取招标文件后 B 提交投标文件后 C 接到中标通知书后 D 签订施工合同后
查看
单选
下列流水施工表达方式中,用纵、横坐标分别表示施工过程的空间位置和施工时间的是( )。
A 单代号网络图 B 横道图 C 垂直图 D 双代号网络图
查看
单选
施工招标中,对投标申请人资格预审可采用的方法是( )。
A 合格制和淘汰制 B 有限数量制和淘汰制 C 资质合格制和有限数量制 D 合格制和有限数量制
查看
单选
下列关于工程常见担保的说法中,正确的是( )。
A 投标截止后投标人撤销投标文件的,招标人可以不退还投标保证金 B 履约保证金不得超过中标合同金额的3% C 工程款支付担保是指中标人在签订合同前向招标人提交的保证履行合同义务和责任的担保 D 在工程竣工前,承包人已缴纳履约保证金,发包人可以同时预留工程质量保证金
查看
单选
某分部工程有3个施工过程,分为4个施工段组织加快的成倍节拍流水施工,各施工过程流水节拍分别是6天、6天、9天,则该分部工程的流水施工工期是( )天。
A 24 B 30 C 36 D 54
查看
单选
根据《建设工程工程量清单计价规范》GB50500—2013,投标时,下列措施项目中,属于“单价项目”的是( )。
A 二次搬运 B 工程定位复测 C 临时设施 D 脚手架
查看
单选
某双代号网络图如下图所示,以下正确的是( )。
A 工作C、D应同时开始 B 工作B的紧后工作只有C、D C 工作C、D完成后即可进行工作G D 工作D完成后即可进行工作F
查看
单选
关于流水施工组织方式特点的说法,错误的是( )。
A 尽可能地利用工作面进行施工,工期较短 B 实现专业化生产,可以提高施工技术水平和劳动生产率 C 工作队伍较多,可能增加总承包单位的成本 D 单位时间内投入的劳动力、施工机具等资源量较为均衡,有利于资源供应的组织
查看
刷题小程序
热门试卷
2022年二级建造师考试《建设工程施工管理》密训卷
2022年二级建造师考试《建设工程施工管理》冲刺卷(二)
2022年二级建造师考试《建设工程施工管理》冲刺卷(一)
2022年二级建造师考试《建设工程施工管理》模拟卷(三)
2022年二级建造师考试《建设工程施工管理》模拟卷(二)
2022年二级建造师考试《建设工程施工管理》模拟卷(一)
2022年二级建造师考试《建设工程施工管理》机考模拟演练卷(一)(符合2022年新版教材)
2022年二级建造师考试《建设工程施工管理》机考模拟演练卷(二)(符合2022年新版教材)
2022年二级建造师考试《建设工程施工管理》密训卷(符合2022年新版教材)
2022年二级建造师考试《建设工程施工管理》冲刺卷(二)(符合2022年新版教材)
二级建造师《建设工程施工管理》预测一
二级建造师《建设工程施工管理》预测二
二级建造师《建设工程施工管理》预测三
二级建造师《建设工程施工管理》预测四
二级建造师《建设工程施工管理》预测五