首页
考研
最新考研题库
中外美术史23新版
建筑类
二级建造师
一级建造师
一级造价工程师
监理工程师
安全工程师
一级消防工程师
消防设施操作员
医学类
主治类
执业药师
护师(初级)资格证考试
主管护师(中级)资格证考试
护士资格证考试
医师类
中药学类
金融类
基金从业资格
银行从业资格
证券从业资格
期货从业资格
银行招聘考试
财会类
初级经济师
中级经济师
初级会计师
中级会计师
注册会计师
税务师
资产评估师
教师类
中学教师笔试
小学教师笔试
幼儿教师笔试
幼儿结构化面试
幼儿专业面试
中小学结构化面试
学历提升
成考(专升本)
成考(高起本、高起专)
自考
网校课程
登录
注册好礼
我的主页
我的提问
我的回答
退出
当前位置:
首页
>
建设工程施工管理
>
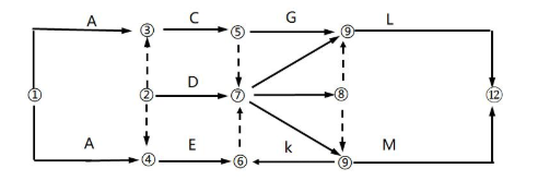
某工程双代号网络计划如下图,存在的绘图错误有( )
多选
某工程双代号网络计划如下图,存在的绘图错误有( )
A 有多个起点节点
B 有多个终点节点
C 节点编号有误
D 有多余虚工作
E 存在循环回路
正确答案
ACDE
查看解析
搜索
相关试题
单选
对于采用投资补助、贷款贴息方式的政府投资项目,政府投资主管部门应审批的文件是( )
A 可行性研究报告 B 资金申请报告 C 开工报告 D 项目建议书
查看
单选
建设工程缺陷责任期通常从( )起计算。
A 试生产工作完成之日 B 办理竣工结算之日 C 竣工验收合格之日 D 出具工程接收证书之日
查看
单选
下列监理机构人员的职责中,总监理工程师可以书面授权委托给总监理工程师代表的是( )
A 签发工程开工令 B 组织编写监理月报 C 市批监理实施细则 D 组织编写工程质量评估报告
查看
单选
施工单位应建立绿色施工管理体系,并明确( )是项目绿色施工管理的第一责任人。
A 施工单位负责人 B 施工单位技术负责人 C 项目负责人 D 项目技术负责人
查看
单选
与平行承包模式相比,施工总承包模式具有的特点是( )
A 建设单位组织协调工作量小 B 建设单位可在更大范围内选择施工单位 C 有利于缩短建设工期 D 工程造价控制难度大
查看
单选
关于项目管理责任距阵的说法,正确的是( )
A 责任检查时,横向检查可以确保每个人员至少负责一项工作 B 责任检查时,纵向检查可以确保每项工作有人员负责 C 基于管理活动的工作量估算,可以横向统计每个活动的总工作量 D 基于管理活动的工作量估算,可以纵向统计每个活动的总工作量
查看
单选
承包人项目经理短期离开施工场地,可委派代表代行其职责,但应事先征得( )同意。
A 发包人 B 承包人 C 监理人 D 分包人
查看
单选
在编制招标工程量清单时,对施工中可能出现的索赔、现场签证等费用,应在( )中予以考虑。
A 暂估价 B 暂列金额 C 计日工 D 总承包服务费
查看
单选
特种作业人员在特种作业操作证有效期内连续从事本工种10年以上、严格遵守有关安全生产法律法规的,经原考核发证机关或者从业所在地考核发证机关同意,特种作业操作证的复
A 每6年1次 B 每3年1次 C 每4年1次 D 每5年1次
查看
单选
施工单位选择与其他单位组成联合体承包工程,共同承担风险。这种做法属于风险应对策略中的( )。
A 风险减轻 B 风险规避 C 风险转移 D 风险自留
查看
刷题小程序
热门试卷
2018年二级建造师考试《建设工程施工管理》真题及答案
2019年二级建造师考试《建设工程施工管理》真题及答案
2020年12月二级建造师考试《建设工程施工管理》真题及答案
2020年二级建造师考试《建设工程施工管理》真题及答案
2021年5月22日二级建造师考试《建设工程施工管理》真题及答案
2021年5月29日二级建造师考试《建设工程施工管理》真题及答案
2021年云南、贵州二级建造师机考《建设工程施工管理》真题汇编(不完整版)
2022年6月11日二级建造师考试《建设工程施工管理》真题及答案 (1天考3科)(不完整版)
2022年6月12日二级建造师考试《建设工程施工管理》真题及答案 (1天考3科)(不完整版)
2022年二级建造师考试《建设工程施工管理》真题
2023年6月3号(上午)二级建造师考试《建设工程施工管理》真题
2023年6月3号(下午)二级建造师考试《建设工程施工管理》真题
2023年6月4号(下午)二级建造师考试《建设工程施工管理》真题(更新中)
2023年6月3日二建《施工管理》真题(2天考3科)
2023年6月3日二建《施工管理》真题(1天考3科)