首页
考研
最新考研题库
中外美术史23新版
建筑类
二级建造师
一级建造师
一级造价工程师
监理工程师
安全工程师
一级消防工程师
消防设施操作员
医学类
主治类
执业药师
护师(初级)资格证考试
主管护师(中级)资格证考试
护士资格证考试
医师类
中药学类
金融类
基金从业资格
银行从业资格
证券从业资格
期货从业资格
银行招聘考试
财会类
初级经济师
中级经济师
初级会计师
中级会计师
注册会计师
税务师
资产评估师
教师类
中学教师笔试
小学教师笔试
幼儿教师笔试
幼儿结构化面试
幼儿专业面试
中小学结构化面试
学历提升
成考(专升本)
成考(高起本、高起专)
自考
网校课程
登录
注册好礼
我的主页
我的提问
我的回答
退出
当前位置:
首页
>
西药学专业(一)
>
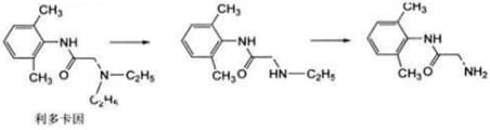
[A型题]根据下式推断,利多卡因的代谢反应为
单选
[A型题]根据下式推断,利多卡因的代谢反应为
A O-脱烷基化
B N-脱烷基化
C C-氧化
D C-环氧化
E S-氧化
正确答案
B
查看解析
搜索
相关试题
单选
[A型题]有关药品通用名的说法,错误的是
A 不受专利保护 B 药典使用的名称 C 同类药物的通用名通常具有相同的词干 D 一个药物可以有多个通用名 E 是国际非专利药品名称
查看
单选
[A型题]西咪替丁结构中含有
A 呋喃环 B 噻唑环 C 噻吩环 D 咪唑五元环 E 吡啶环
查看
单选
[A型题]结构中含有酰胺键的药物是
A 阿司匹林 B 对乙酰氨基酚 C 塞来昔布 D 别嘌醇 E 双氯芬酸
查看
单选
[A型题]《中国药典》中收载考查药品质量、符合药品标准所制定的指导性规定的部分是
A 前言 B 凡例 C 二部正文品种 D 通则 E 药用辅料正文品种
查看
单选
[A型题]不适宜用作矫味剂的物质是
A 糖精钠 B 单糖浆 C 薄荷水 D 山梨酸 E 泡腾剂
查看
单选
[A型题]硫酸阿托品注射液中氯化钠的作用是【处方】硫酸阿托品5g;氯化钠85g;0.1mol/L盐酸溶液适量;注射用水加至10000mL
A 等渗调节剂 B 乳化剂 C pH调节剂 D 保湿剂 E 增稠剂
查看
单选
[A型题]适宜作片剂崩解剂的是
A 微晶纤维素 B 甘露醇 C 羧甲基淀粉钠 D 糊精 E 羟丙基甲基纤维素
查看
单选
[A型题]表面活性剂具有溶血作用,下列说法或溶血性排序正确的是
A 非离子型表面活性剂溶血性最强 B 聚氧乙烯芳基醍>聚氧乙烯脂肪酸酯>吐温类 C 阴离子型表面活性剂溶血性比较弱 D 阳离子型表面活性剂溶血性比较弱 E 聚氧乙烯脂肪酸酯>吐温40>聚氧乙烯芳基醚
查看
单选
[A型题]烯醇类药物降解的主要途径是
A 脱羧 B 氧化 C 几何异构化 D 聚合 E 水解
查看
单选
[A型题]研究机体遗传变异引起的药物反应个体差异的学科是
A 药理学 B 药动学 C 药效学 D 时辰药理学 E 遗传药理学
查看
刷题小程序
热门试卷
2017年《药学专业知识一》真题
2018年《药学专业知识一》真题
2019年《药学专业知识一》真题
2020年《药学专业知识一》真题
2021年《药学专业知识一》真题
2022年《药学专业知识一》真题
2022年执业药师延考《药学专业知识(一)》真题
2023年执业药师《药学专业知识一》估分(考生回忆版)
2023年执业药师《药学专业知识一》真题
2024年执业药师《药学专业知识一》估分(考生回忆版)
2025年执业药师《药学专业知识一》真题