首页
考研
最新考研题库
中外美术史23新版
建筑类
二级建造师
一级建造师
一级造价工程师
监理工程师
安全工程师
一级消防工程师
消防设施操作员
医学类
主治类
执业药师
护师(初级)资格证考试
主管护师(中级)资格证考试
护士资格证考试
医师类
中药学类
金融类
基金从业资格
银行从业资格
证券从业资格
期货从业资格
银行招聘考试
财会类
初级经济师
中级经济师
初级会计师
中级会计师
注册会计师
税务师
资产评估师
教师类
中学教师笔试
小学教师笔试
幼儿教师笔试
幼儿结构化面试
幼儿专业面试
中小学结构化面试
学历提升
成考(专升本)
成考(高起本、高起专)
自考
网校课程
登录
注册好礼
我的主页
我的提问
我的回答
退出
当前位置:
首页
>
西药学专业(一)
>
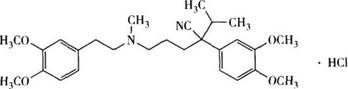
配伍选择题 分子结构中有一个手性碳原子,能选择性地扩张脑血管,用于防治脑血管痉挛所致的缺血性神经障碍、高血压和偏头痛等疾
单选
配伍选择题 分子结构中有一个手性碳原子,能选择性地扩张脑血管,用于防治脑血管痉挛所致的缺血性神经障碍、高血压和偏头痛等疾病的1,4-二氢吡啶类钙通道阻滞药是
A.
B.
C.
D.
E.
A A
B B
C C
D D
E E
F F
G H
正确答案
E
查看解析
搜索
相关试题
单选
下列制剂属于均相液体药剂的是
A 普通乳剂 B 纳米乳剂 C 溶胶剂 D 高分子溶液 E 混悬剂
查看
单选
药物在体内代谢的反应不包括
A 氧化反应 B 还原反应 C 水解反应 D 聚合反应 E 结合反应
查看
单选
关于芳香水剂的叙述错误的是
A 芳香水剂系指芳香挥发性药物的饱和或近饱和的水溶液 B 芳香挥发性药物多数为挥发油 C 芳香水剂应澄明 D 芳香水剂可作矫味、矫臭和分散剂使用 E 芳香水剂宜大量配制和久贮
查看
单选
药物化学的研究对象是
A 中药饮片 B 化学药物 C 中成药 D 中药材 E 生物药物
查看
单选
不适宜用作矫味剂的物质是
A 单糖浆 B 桂皮水 C 羧甲基纤维素钠 D 苯甲酸 E 泡腾剂
查看
单选
关于滴丸剂的叙述,不正确的是
A 主药体积小的药物不可以制成滴丸剂 B 刺激性强的药物可以制成滴丸剂 C 主药体积小的药物可以制成滴丸剂 D 液体药物可制成固体的滴丸剂 E 滴丸剂不仅可以口服,还可外用
查看
单选
布洛芬药物名称的命名属于
A 商品名 B 拉丁名 C 化学名 D 通俗名 E 通用名
查看
单选
在混悬剂中起润湿、助悬、絮凝或反絮凝作用的附加剂是
A 表面活性剂 B 金属离子络合剂 C 抗氧剂 D 起泡剂 E 稳定剂
查看
单选
下列剂型中,药物吸收最慢的是
A 溶液剂 B 散剂 C 胶囊剂 D 包衣片 E 混悬液
查看
单选
属于阴离子型表面活性剂的是
A 卵磷脂 B 苯扎氯铵 C 聚氧乙烯脂肪醇醚 D 硬脂酸三乙醇胺 E 蔗糖脂肪酸酯
查看
刷题小程序
热门试卷
《药学专业知识一》模拟1
《药学专业知识一》模拟2
《药学专业知识一》模拟3
《药学专业知识一》模拟4
《药学专业知识一》模拟5
《药学专业知识一》模拟6
《药学专业知识一》模拟7
《药学专业知识一》模拟8
《药学专业知识一》模拟9
《药学专业知识一》模拟10
《药学专业知识一》模拟11
《药学专业知识一》模拟12
执业药师《西药学专业知识(一)》预测一
执业药师《西药学专业知识(一)》预测二
执业药师《西药学专业知识(一)》预测三