首页
考研
最新考研题库
中外美术史23新版
建筑类
二级建造师
一级建造师
一级造价工程师
监理工程师
安全工程师
一级消防工程师
消防设施操作员
医学类
主治类
执业药师
护师(初级)资格证考试
主管护师(中级)资格证考试
护士资格证考试
医师类
中药学类
金融类
基金从业资格
银行从业资格
证券从业资格
期货从业资格
银行招聘考试
财会类
初级经济师
中级经济师
初级会计师
中级会计师
注册会计师
税务师
资产评估师
教师类
中学教师笔试
小学教师笔试
幼儿教师笔试
幼儿结构化面试
幼儿专业面试
中小学结构化面试
学历提升
成考(专升本)
成考(高起本、高起专)
自考
网校课程
登录
注册好礼
我的主页
我的提问
我的回答
退出
当前位置:
首页
>
西药学专业(一)
>
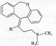
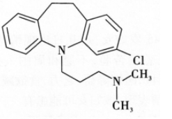
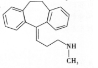
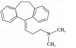
配伍选择题 阿米替林的结构式是 A. B. C. D. E.
单选
配伍选择题 阿米替林的结构式是
A.
B.
C.
D.
E.
A A
B B
C C
D D
E E
F F
G H
正确答案
E
查看解析
搜索
相关试题
单选
当药物上的缺电子基团与受体上的供电子基团产生相互作用时,电子在两者间可发生转移,这种作用力被称为
A 电荷转移复合物 B 氢键 C 离子一偶极和偶极一偶极相互作用 D 范德华引力 E 疏水性相互作用
查看
单选
对制剂进行崩解时限检查时,取供试品6片(粒),分别置吊篮的玻璃管中,启动崩解仪进行检查。在盐酸溶液(9→1000)中2小时不得有裂缝、崩解或软化现象;在磷酸盐缓
A 软胶囊 B 硬胶囊 C 肠溶片 D 胃溶片 E 缓释片
查看
单选
最佳选择题 属于氧头孢类,对多种β-内酰胺酶稳定,较少发生耐药性的抗菌药物是 A. B. C. D. E.
A A B B C C D D E E
查看
单选
油性药液的抗氧剂可选用
A 焦亚硫酸钠 B 维生素C C 亚硫酸钠 D 硫代硫酸钠 E 维生素E
查看
单选
由于横纹肌溶解等副作用而撤出市场的HMG-CoA还原酶抑制药是
A 洛伐他汀 B 辛伐他汀 C 普伐他汀 D 氟伐他汀 E 西立伐他汀
查看
单选
进行仿制药生物等效性评价,最常采用的研究手段是
A 药效学研究 B 药物动力学研究 C 临床研究 D 临床前研究 E 上市后研究
查看
单选
属于均相液体制剂的是
A 纳米银溶胶 B 复方硫黄洗剂 C 鱼肝油乳剂 D 磷酸可待因糖浆 E 石灰搽剂
查看
单选
药物安全范围指的是
A ED50与LD50的比值 B LD50与ED50的比值 C LD5与ED95的比值 D ED95与LD5的比值 E ED95和LD5之间的距离
查看
单选
下列关于pA2的描述,正确的是
A 在拮抗药存在时,若2倍浓度的激动药所产生的效应恰好等于未加入拮抗药时激动药的效应,则所加入的拮抗药的摩尔浓度的对数称为pA2值 B pA2为亲和力指数 C 拮抗药的pA2值越大,其拮抗作用越弱 D pA2值的大小反映竞争性拮抗药对其激动药的拮抗强度 E 非竞争性拮抗药与受体的亲和力可用拮抗参数pA2表示
查看
单选
适于制成经皮吸收制剂的药物是
A 离子型药物 B 熔点高的药物 C 每日剂量大于1000mg的药物 D 相对分子质量大于1000的药物 E 脂溶性药物
查看
刷题小程序
热门试卷
《药学专业知识一》模拟1
《药学专业知识一》模拟2
《药学专业知识一》模拟3
《药学专业知识一》模拟4
《药学专业知识一》模拟5
《药学专业知识一》模拟6
《药学专业知识一》模拟7
《药学专业知识一》模拟8
《药学专业知识一》模拟9
《药学专业知识一》模拟10
《药学专业知识一》模拟11
《药学专业知识一》模拟12
执业药师《西药学专业知识(一)》预测一
执业药师《西药学专业知识(一)》预测二
执业药师《西药学专业知识(一)》预测三