首页
考研
最新考研题库
中外美术史23新版
建筑类
二级建造师
一级建造师
一级造价工程师
监理工程师
安全工程师
一级消防工程师
消防设施操作员
医学类
主治类
执业药师
护师(初级)资格证考试
主管护师(中级)资格证考试
护士资格证考试
医师类
中药学类
金融类
基金从业资格
银行从业资格
证券从业资格
期货从业资格
银行招聘考试
财会类
初级经济师
中级经济师
初级会计师
中级会计师
注册会计师
税务师
资产评估师
教师类
中学教师笔试
小学教师笔试
幼儿教师笔试
幼儿结构化面试
幼儿专业面试
中小学结构化面试
学历提升
成考(专升本)
成考(高起本、高起专)
自考
网校课程
登录
注册好礼
我的主页
我的提问
我的回答
退出
当前位置:
首页
>
西药学专业(一)
>
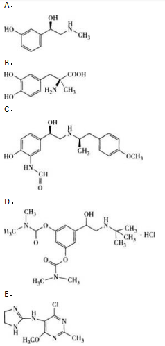
配伍选择题 为可乐定的结构衍生物,为α受体激动药也是咪唑啉Ⅰ1受体高度亲和的选择性激动药的是
单选
配伍选择题 为可乐定的结构衍生物,为α受体激动药也是咪唑啉Ⅰ1受体高度亲和的选择性激动药的是
A A
B B
C C
D D
E E
F F
G H
正确答案
E
查看解析
搜索
相关试题
单选
关于高分子溶液的错误表述是
A 高分子水溶液可带正电荷,也可带负电荷 B 高分子溶液是黏稠性流动液体,黏稠性大小与高分子的分子量有关 C 高分子溶液加入大量电解质可使高分子化合物凝结而沉淀 D 高分子溶液的凝胶现象与温度无关 E 高分子溶液加入脱水剂,可因脱水而析出沉淀
查看
单选
醚类药物在体内主要发生
A 还原代谢 B 水解代谢 C 脱烃基代谢 D 羟基化代谢 E 甲基化代谢
查看
单选
下列有关影响分布的因素不正确的是
A 体内循环与血管透过性 B 药物与血浆蛋白结合的能力 C 药物的理化性质 D 药物与组织的亲和力 E 给药时间
查看
单选
有关鼻黏膜给药的叙述不正确的是
A 鼻黏膜内的丰富血管和鼻黏膜的渗透性大有利于吸收 B 可避开肝首过效应 C 吸收程度和速度不如静脉注射 D 鼻腔给药方便易行 E 多肽类药物适宜以鼻黏膜给药
查看
单选
有关片剂包衣错误的叙述是
A 可以控制药物在胃肠道的释放速度 B 滚转包衣法适用于包薄膜衣 C 包隔离层是为了形成一道不透水的障碍,防止水分浸入片芯 D 用聚乙烯吡咯烷酮包肠溶衣,具有包衣容易、抗胃酸性强的特点 E 乙基纤维素为水分散体薄膜衣材料
查看
单选
下列属于阳离子型表面活性剂的是
A 卵磷脂 B 苯扎溴铵 C 吐温80 D 十二烷基苯磺酸钠 E 泊洛沙姆
查看
单选
不是难溶性药物溶出速度的影响因素的是
A 药物的表面积 B 药物的溶解度 C 药物的形状、质地 D 温度 E 药物的溶出速率常数
查看
单选
吐温类溶血作用由大到小的顺序为
A 吐温80>吐温40>吐温60>吐温20 B 吐温20>吐温60>吐温40>吐温80 C 吐温80>吐温60>吐温40>吐温20 D 吐温20>吐温40>吐温60>吐温80 E 吐温20>吐温80>吐温40>吐温60
查看
单选
如果不良反应是“药物与人体抗体发生的一种非正常的免疫反应”,则称为
A 毒性反应 B 继发反应 C 过敏作用 D 过度反应 E 遗传药理学不良反应
查看
单选
下列全部为片剂中常用的填充剂的是
A 淀粉,蔗糖,交联聚维酮 B 淀粉,羧甲基淀粉钠,羟丙甲纤维素 C 甲基纤维素,蔗糖,糊精 D 预胶化淀粉,蔗糖,糊精 E 硫酸钙,微晶纤维素,聚乙二醇
查看
刷题小程序
热门试卷
《药学专业知识一》模拟1
《药学专业知识一》模拟2
《药学专业知识一》模拟3
《药学专业知识一》模拟4
《药学专业知识一》模拟5
《药学专业知识一》模拟6
《药学专业知识一》模拟7
《药学专业知识一》模拟8
《药学专业知识一》模拟9
《药学专业知识一》模拟10
《药学专业知识一》模拟11
《药学专业知识一》模拟12
执业药师《西药学专业知识(一)》预测一
执业药师《西药学专业知识(一)》预测二
执业药师《西药学专业知识(一)》预测三