首页
考研
最新考研题库
中外美术史23新版
建筑类
二级建造师
一级建造师
一级造价工程师
监理工程师
安全工程师
一级消防工程师
消防设施操作员
医学类
主治类
执业药师
护师(初级)资格证考试
主管护师(中级)资格证考试
护士资格证考试
医师类
中药学类
金融类
基金从业资格
银行从业资格
证券从业资格
期货从业资格
银行招聘考试
财会类
初级经济师
中级经济师
初级会计师
中级会计师
注册会计师
税务师
资产评估师
教师类
中学教师笔试
小学教师笔试
幼儿教师笔试
幼儿结构化面试
幼儿专业面试
中小学结构化面试
学历提升
成考(专升本)
成考(高起本、高起专)
自考
网校课程
登录
注册好礼
我的主页
我的提问
我的回答
退出
当前位置:
首页
>
西药学专业(一)
>
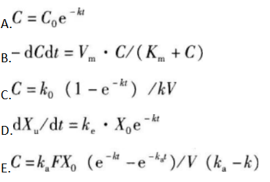
不定项选择题 单室模型静脉注射给药,血药浓度与时间的关系式是
单选
不定项选择题 单室模型静脉注射给药,血药浓度与时间的关系式是
A A
B B
C C
D D
E E
F F
G H
正确答案
A
查看解析
搜索
相关试题
单选
睾酮在17α位增加一个甲基,其设计的主要考虑是
A 减小脂溶性,可以口服 B 雄激素作用增强 C 雄激素作用降低 D 蛋白同化作用增强 E 增强脂溶性,有利吸收
查看
单选
有些药物的不良反应较为滞后,不能及时被发现,常常在药物长期的使用过程中才能监测出来,如氯霉素的再生障碍性贫血是在广泛应用临床后发现的,这种情况属于
A 药品上市前临床试验的设计和上市后药品有效性的再评价 B 上市后药品不良反应或非预期作用的监测 C 国家基本药物的遴选 D 药物利用情况的调查研究 E 药物经济学研究
查看
单选
药物制剂稳定性的影响因素包括处方因素与环境因素。有些药物分子受辐射作用使药物分子活化而产生分解,分解速度与系统的温度无关。这种影响药物降解的因素属于下列哪种因素
A 光线 B 空气 C 温度 D 金属离子络合剂 E 包装材料
查看
单选
下列有关注射剂临床应用时的叙述,说法错误的是
A 当其他途径能达到治疗效果时,尽量不用注射给药 B 为保证药物注射剂的疗效和减少不良反应,注射剂配液越早越好 C 应尽量减少注射剂联合用药的种类 D 能够肌内注射就不静脉注射 E 应严格掌握注射剂量和疗程
查看
单选
去除四环素的C6位甲基和C6位羟基后,使其对酸的稳定性增加,得到高效、速效和长效的四环素类药物是
A 土霉素 B 四环素 C 多西环素 D 美他环素 E 米诺环素
查看
单选
药物从给药部位进入体循环的过程称为
A 代谢 B 吸收 C 清除率 D 膜动转运 E 排泄
查看
单选
关于脂质体特点和质量要求的说法,不正确的是
A 脂质体的药物包封率通常应在80%以上 B 药物制备成脂质体,提高药物稳定性的同时增加了药物毒性 C 脂质体为被动靶向制剂,在其载体上结合抗体、糖脂等也可使其具有特异靶向性 D 脂质体形态为封闭多层囊状物,物理方面易产生渗漏现象,化学方面易被氧化 E 通常亲脂性药物或亲水性药物较易制成脂质体
查看
单选
注射剂的质量要求不包括
A 无菌 B 无热原 C pH4~9 D 黏度 E 渗透压
查看
单选
生物技术药物是指所有以生物物质为原料的各种生物活性物质及其人工合成类似物,以及通过现代生物技术制得的药物。下列不属于生物技术药物的是
A 细胞因子 B 重组蛋白质药物 C 寡核苷酸类药物 D 抗体 E 半合成的抗生素类药物
查看
单选
1%的依沙吖啶注射剂用于中期引产,但0.1%~0.2%的溶液局部涂敷具有杀菌作用。以下哪种说法可以解释上述原因
A 药物剂型可以改变药物作用的性质 B 药物剂型可以改变药物作用的速度 C 药物剂型可以降低药物的毒副作用 D 药物剂型可以产生靶向作用 E 药物剂型会影响疗效
查看
刷题小程序
热门试卷
《药学专业知识一》模拟1
《药学专业知识一》模拟2
《药学专业知识一》模拟3
《药学专业知识一》模拟4
《药学专业知识一》模拟5
《药学专业知识一》模拟6
《药学专业知识一》模拟7
《药学专业知识一》模拟8
《药学专业知识一》模拟9
《药学专业知识一》模拟10
《药学专业知识一》模拟11
《药学专业知识一》模拟12
执业药师《西药学专业知识(一)》预测一
执业药师《西药学专业知识(一)》预测二
执业药师《西药学专业知识(一)》预测三