首页
考研
最新考研题库
中外美术史23新版
建筑类
二级建造师
一级建造师
一级造价工程师
监理工程师
安全工程师
一级消防工程师
消防设施操作员
医学类
主治类
执业药师
护师(初级)资格证考试
主管护师(中级)资格证考试
护士资格证考试
医师类
中药学类
金融类
基金从业资格
银行从业资格
证券从业资格
期货从业资格
银行招聘考试
财会类
初级经济师
中级经济师
初级会计师
中级会计师
注册会计师
税务师
资产评估师
教师类
中学教师笔试
小学教师笔试
幼儿教师笔试
幼儿结构化面试
幼儿专业面试
中小学结构化面试
学历提升
成考(专升本)
成考(高起本、高起专)
自考
网校课程
登录
注册好礼
我的主页
我的提问
我的回答
退出
当前位置:
首页
>
中药学专业(一)
>
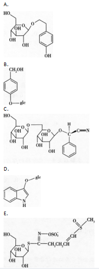
配伍选择题 属于酚苷的是
单选
配伍选择题 属于酚苷的是
A A
B B
C C
D D
E E
F F
G H
正确答案
B
查看解析
搜索
相关试题
单选
结构属于有机胺类生物碱且具有挥发性的成分是
A 咖啡因 B 莨菪碱 C 麻黄碱 D 芦丁 E 苦参碱
查看
单选
对眼睛有刺激性,不宜用作眼膏基质的是
A 蜂蜡 B 二甲硅油 C 凡士林 D 羊毛脂 E 氢化植物油
查看
单选
关于散剂特点与分类的说法,错误的是
A 易吸湿或易氧化变质的药物、刺激性大的药物、含挥发性成分的药物均不宜制成散剂 B 含毒性成分、低共熔成分、液体成分的药物均可以制备成散剂 C 九分散既可内服,又可外用 D 分剂量散剂多为内服散剂,而非剂量散剂多为外用散剂 E 散剂因比表面积大,而易分散有利吸收、起效迅速
查看
单选
具有“银皮”特征的药材是
A 蛤蚧 B 金钱白花蛇 C 鹿茸 D 地龙 E 麝香
查看
单选
最佳选择题 以下图中,所示为羌活的是 A. B. C. D. E.
A A B B C C D D E E
查看
单选
对饮片片型的规定异形片一般不得过
A 15% B 10% C 5% D 3% E 1%
查看
单选
主要含木脂素类化合物的药材是
A 葛根 B 厚朴 C 前胡 D 延胡索 E 香加皮
查看
单选
含醌类衍生物,其结合型苷类成分具有泻下作用,故临床上用于泻下,攻积导滞、泻火凉血的药是
A 生大黄 B 芒硝 C 火麻仁 D 郁李仁 E 杏仁
查看
单选
《中国药典》规定,恒重是指供试品连续两次干燥或炽灼后称重的差异在为
A 0.2mg以下 B 0.1mg以下 C 0.3mg以下 D 1.0mg以下 E 0.5mg以下
查看
单选
关于纯化水的说法,错误的是
A 为饮用水经蒸馏所得的水 B 用作配制注射剂的溶剂 C 用作配制口服液的溶剂 D 非灭菌制剂用器具的精洗用水 E 非灭菌制剂所用饮片的提取溶剂
查看
刷题小程序
热门试卷
执业药师《中药学专业知识一》模拟考试1
执业药师《中药学专业知识一》模拟考试2
执业药师《中药学专业知识一》模拟考试3
执业药师《中药学专业知识一》模拟考试4
执业药师《中药学专业知识一》模拟考试5
执业药师《中药学专业知识一》模拟考试6
执业药师《中药学专业知识一》模拟考试7
执业药师《中药学专业知识一》模拟考试8
执业药师《中药学专业知识一》模拟考试9
执业药师中药学《中药学专业知识一》模拟考试10
执业药师中药学考试《中药学专业知识一》模拟考试11
执业药师中药学考试《中药学专业知识一》模拟考试12
执业药师《中药学专业知识一》考试一
执业药师《中药学专业知识一》考试二
执业药师《中药学专业知识一》考试三