首页
考研
最新考研题库
中外美术史23新版
建筑类
二级建造师
一级建造师
一级造价工程师
监理工程师
安全工程师
一级消防工程师
消防设施操作员
医学类
主治类
执业药师
护师(初级)资格证考试
主管护师(中级)资格证考试
护士资格证考试
医师类
中药学类
金融类
基金从业资格
银行从业资格
证券从业资格
期货从业资格
银行招聘考试
财会类
初级经济师
中级经济师
初级会计师
中级会计师
注册会计师
税务师
资产评估师
教师类
中学教师笔试
小学教师笔试
幼儿教师笔试
幼儿结构化面试
幼儿专业面试
中小学结构化面试
学历提升
成考(专升本)
成考(高起本、高起专)
自考
网校课程
登录
注册好礼
我的主页
我的提问
我的回答
退出
当前位置:
首页
>
西药学专业(一)
>
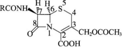
综合分析选择题 天然的头孢类抗生素的3位是乙酰氧甲基,体内易水解,成环,失去活性,为改善该类药物的体内药动学性质,对其3
单选
综合分析选择题 天然的头孢类抗生素的3位是乙酰氧甲基,体内易水解,成环,失去活性,为改善该类药物的体内药动学性质,对其3位改造。
3位引入季铵结构,迅速穿透细菌细胞壁的药物是
A 哌拉西林
B 阿莫西林
C 头孢哌酮
D 亚胺培南
E 头孢吡肟
正确答案
E
查看解析
搜索
相关试题
单选
下列不属于药物体内代谢的第Ⅱ相结合反应的是
A 沙丁胺醇的酚羟基硫酸酯化结合反应 B 苯甲酸和水杨酸体内代谢成马尿酸和水杨酰甘氨酸的氨基酸结合反应 C 白消安和酰氯与谷胱甘肽结合解除细胞毒性的反应 D 对氨基水杨酸生成对乙酰胺基水杨酸的乙酰化结合反应 E 丙胺卡因R-(-)-体产生邻甲苯胺,引起高铁血红蛋白血症的水解反应
查看
单选
大部分口服药物在胃肠道中最主要的吸收部位是
A 胃 B 小肠 C 直肠 D 结肠 E 盲肠
查看
单选
美洛昔康的结构为 下列不符合其性质和特点的选项是
A 属非甾体抗炎药 B 具有苯并噻嗪结构 C 具有酰胺结构 D 结构含有吡啶结构 E 该药显酸性,酸性来自于烯醇结构
查看
单选
有关滴眼剂的正确表述是
A 滴眼剂不得含有铜绿假单胞菌和金黄色葡萄球菌 B 滴眼剂通常要求进行热原检查 C 滴眼剂不得加硝酸苯汞之类抑菌剂 D 药物只能通过角膜吸收 E 黏度可适当减小,使药物在眼内停留时间延长
查看
单选
血管紧张素转化酶抑制剂药物如卡托普利,与利尿药螺内酯合用,临床上会引起
A 中毒性精神病 B 昏睡 C 呼吸与循环抑制 D 高钾血症 E 耳毒性
查看
单选
结构中不含有硫的四碳链,有哌啶甲苯结构H2受体拮抗剂是
A 西咪替丁 B 雷尼替丁 C 法莫替丁 D 罗沙替丁 E 尼扎替丁
查看
单选
属于片剂黏合剂的是
A 甘露醇 B 微粉硅胶 C 甲基纤维素 D 硬脂酸镁 E 液状石蜡
查看
单选
下列关于气雾剂特点的错误叙述为( )
A 有首过效应 B 便携、耐用、方便 C 比雾化器容易准备 D 良好的剂量均一性 E 无首过效应
查看
单选
对乙酰氨基酚的代谢途径如下 下面关于对乙酰氨基酚说法错误的是
A 对乙酰氨基酚的毒性代谢物是N-乙酰亚胺醌 B 对乙酰氨基酚结构中的酚羟基与葡萄糖醛酸结合或磷酸酯结合经肾排泄 C 对乙酰氨基酚的主要毒性是肝坏死和肾毒性 D 对乙酰氨基酚解热镇痛、抗炎等,临床用于感冒引起的发热、头痛及缓解轻中度疼痛 E 超剂量服用对乙酰氨基酚,为防止急性肝坏死,可立即服用谷胱甘肽解救
查看
单选
现行版《中国药典》规定测定液体的旋光度时温度应控制在
A 20℃ B 18℃ C 22℃ D 30℃ E 32℃
查看
刷题小程序
热门试卷
《药学专业知识一》模拟1
《药学专业知识一》模拟2
《药学专业知识一》模拟3
《药学专业知识一》模拟4
《药学专业知识一》模拟5
《药学专业知识一》模拟6
《药学专业知识一》模拟7
《药学专业知识一》模拟8
《药学专业知识一》模拟9
《药学专业知识一》模拟10
《药学专业知识一》模拟11
《药学专业知识一》模拟12
执业药师《西药学专业知识(一)》预测一
执业药师《西药学专业知识(一)》预测二
执业药师《西药学专业知识(一)》预测三