首页
考研
最新考研题库
中外美术史23新版
建筑类
二级建造师
一级建造师
一级造价工程师
监理工程师
安全工程师
一级消防工程师
消防设施操作员
医学类
主治类
执业药师
护师(初级)资格证考试
主管护师(中级)资格证考试
护士资格证考试
医师类
中药学类
金融类
基金从业资格
银行从业资格
证券从业资格
期货从业资格
银行招聘考试
财会类
初级经济师
中级经济师
初级会计师
中级会计师
注册会计师
税务师
资产评估师
教师类
中学教师笔试
小学教师笔试
幼儿教师笔试
幼儿结构化面试
幼儿专业面试
中小学结构化面试
学历提升
成考(专升本)
成考(高起本、高起专)
自考
网校课程
登录
注册好礼
我的主页
我的提问
我的回答
退出
当前位置:
首页
>
目标控制(交通工程)
>
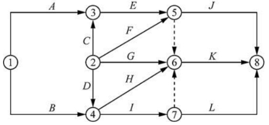
某单位工程双代号网络计划如下图所示,图中有()处错误。
单选
某单位工程双代号网络计划如下图所示,图中有()处错误。
A 1
B 2
C 3
D 4
正确答案
B
查看解析
搜索
相关试题
单选
常见的工程项目管理模式分为项目管理承包型(PMC)和项目管理咨询型(PM)。下列属于项目管理承包型(PMC)特点的是( ) 。
A 风险较低 B 项目管理公司要承担费用超支的风险 C 根据合同承担相应的管理责任 D 得到相对固定的服务费
查看
单选
工程项目管理中PDCA循环中的A指的是( )。
A 策划 B 实施 C 检查 D 处置
查看
单选
交通工程建设项目应当按照国家规定的建设程序进行,下列有关说法正确的是()。
A 政府投资交通建设项目实行审批制,企业投资交通建设项目实行核准制 B 政府投资交通建设项目向交通运输主管部门申报施工许可 C 企业投资交通建设项目竣工验收合格后,需办理固定资产移交手续 D 政府投资交通建设项目需编制项目申请报告报项目审批部门核准
查看
单选
下列监理工作方式中,属于反馈控制的是( ) 。
A 编制监理计划 B 旁站监理 C 监理指令单 D 见证取样
查看
单选
水泥的( )不符合规定时,水泥为废品。
A 氧化镁含量 B 细度 C 终凝时间 D 烧失量
查看
单选
( )的地基承载力试验可以用动力触探试验法确定地基土的承载力。
A 明挖基础 B 桩基础 C 沉井基础 D 地下连续墙基础
查看
单选
下列关于数值修约规则的说法中,不正确的是( )。
A 拟舍去的数字中,其最左面的第一位数字小于5时,则舍去,留下的数字不变 B 拟舍去的数字中,其最左面的第一位数字大于5时,则进1,即所留下的末位数字加1 C 拟舍去的数字中,其最左面的第一位数字等于5,而后面的数字并非全部为0时,则进1,即所留下的末位数字加1 D 拟舍去的数字中,其最左面的第一位数字等于5,而后面无数字或全部为0时,所保留的数字末位数为奇数(1、3、5、7、9)则舍去,如为偶数(0、2、4、6、8)则进一
查看
单选
直方图出现如不正常的双峰形,原因有可能是( )。
A 分组不当 B 组距确定不当 C 少量材料不合格 D 两组生产条件不同的数据混淆在一起
查看
单选
在相关图法中,下列图形称之为( )。
A 强正相关 B 强负相关 C 不相关 D 非线性相关
查看
单选
施工进度计划通常以图表的形式表示,横道图法是其中一种,下列选项中属于其优点的是()。
A 能够清楚地表现施工过程及其先后顺序 B 直观地表现施工过程的进展速度 C 能够形象直观地表示施工地点 D 能够反映工程数量的实际分布情况
查看
刷题小程序
热门试卷
2022年监理工程师考试《建设工程目标控制(交通工程)》临考密训卷
2022年监理工程师考试《建设工程目标控制(交通工程)》强化提分卷
2022年监理工程师考试《建设工程目标控制(交通工程)》密训卷(符合2022版新教材)
2022年监理工程师考试《建设工程目标控制(交通工程)》模拟卷(符合2022版新教材)
监理工程师《目标控制交通工程》模拟卷1
监理工程师《目标控制交通工程》模拟卷2
监理工程师《目标控制交通工程》模拟卷3
监理工程师《目标控制交通工程》模拟卷4
监理工程师《目标控制交通工程》押题密卷1
监理工程师《目标控制交通工程》押题密卷2
监理工程师《目标控制交通工程》押题密卷3
监理工程师《目标控制交通工程》押题密卷4
监理工程师《目标控制交通工程》押题密卷5
监理工程师《目标控制交通工程》押题密卷6
2024年监理工程师《目标控制交通工程》模拟题库1