首页
考研
最新考研题库
中外美术史23新版
建筑类
二级建造师
一级建造师
一级造价工程师
监理工程师
安全工程师
一级消防工程师
消防设施操作员
医学类
主治类
执业药师
护师(初级)资格证考试
主管护师(中级)资格证考试
护士资格证考试
医师类
中药学类
金融类
基金从业资格
银行从业资格
证券从业资格
期货从业资格
银行招聘考试
财会类
初级经济师
中级经济师
初级会计师
中级会计师
注册会计师
税务师
资产评估师
教师类
中学教师笔试
小学教师笔试
幼儿教师笔试
幼儿结构化面试
幼儿专业面试
中小学结构化面试
学历提升
成考(专升本)
成考(高起本、高起专)
自考
网校课程
登录
注册好礼
我的主页
我的提问
我的回答
退出
当前位置:
首页
>
西药学专业(一)
>
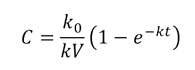
(2023年真题)单室模型药物静脉滴注过程中的血药浓度公式为,其中k与k0的单位分别是
单选
(2023年真题)单室模型药物静脉滴注过程中的血药浓度公式为
,其中k与k0的单位分别是
A h, h-1
B h-1, mg/h
C mL/h, mg/h
D h-1, h
E h-1, μg/ml
正确答案
B
查看解析
搜索
相关试题
单选
(2023年真题)药物剂型形态学分类中,除固体剂型、液体剂型、气体剂型,还包括( )
A 经胃肠道给药剂型 B 浸出制剂 C 无菌制剂 D 半固体剂型 E 缓释制剂
查看
单选
(2023年真题)属于药品包装材料、容器使用性能检查的项目是( )
A 来源与纯度 B 浸出物 C 密封性 D 微生物限度 E 异常毒性
查看
单选
(2023年真题)关于药品稳定性试验方法的说法,错误的是( )
A 影响因素试验是对不同批次样品进行考察,在规定时间内取样检测 B 加速试验是在超常条件下进行试验,预测药品在常温条件下的稳定性 C 长期试验是将样品在接近实际贮存条件下贮藏,每隔一定时间取样检测 D 长期试验费时较长,不利于及时掌握制剂质量变化的速度和规律 E 加速试验是为了在较短时间内,预测样品在常温条件下的质量稳定情况
查看
单选
(2023年真题)关于色谱法的说法,错误的是( )
A 色谱法是一种物理或物理化学分离分析方法 B 色谱法是分析混合物的有效手段 C 高效液相色谱法以待测成分色谱峰的保留时间(tR)作为鉴别依据 D 高效液相色谱法以待测成分色谱峰的峰面积(A)或峰高(h)作为含量测定的依据 E 薄层色谱法以斑点位置(Rf)作为含量测定的依据
查看
单选
(2023年真题)用紫外-可见分光光度法测定药物含量时,使用的标准物质是( )
A 标准品 B 对照品 C 对照药材 D 对照提取物 E 参考品
查看
单选
(2023年真题)己烯雌酚的反式异构体具有与雌二醇相同的药理活性,而己烯雌酚的顺式异构体则没有该活性,这一现象属于( )
A 药物的立体异构对药理活性的影响 B 药物的几何异构对药理活性的影响 C 药物的构象异构对药理活性的影响 D 药物的对映异构对药理活性的影响 E 药物的光学异构对药理活性的影响
查看
单选
(2023年真题)患者使用链霉素一个疗程,出现听力下降,停药几周后仍不能恢复。产生该现象的原因是( )
A 药物变态反应 B 药物后遗效应 C 药物特异质反应 D 药物毒性反应 E 药物副作用
查看
单选
(2023年真题)临床上生物技术药物使用最广泛的剂型是( )
A 胶囊剂 B 糖浆剂 C 滴眼剂 D 气雾剂 E 注射剂
查看
单选
(2023年真题)患者,男,65岁,诊断为肝硬化。使用利多卡因后,其消除半衰期增加3倍,可能的原因是( )
A 肝糖原的合成减少 B 机体排泄能力下降 C 药物代谢能力下降 D 药物分布更加广泛 E 药物吸收增加
查看
单选
(2023年真题)使用镇静催眠药治疗失眠症,常会出现醒后嗜睡、乏力,产生该现象的原因是( )
A 药物副作用 B 药物后遗效应 C 药物继发反应 D 药物毒性反应 E 停药反应
查看
刷题小程序
热门试卷
2017年《药学专业知识一》真题
2018年《药学专业知识一》真题
2019年《药学专业知识一》真题
2020年《药学专业知识一》真题
2021年《药学专业知识一》真题
2022年《药学专业知识一》真题
2022年执业药师延考《药学专业知识(一)》真题
2023年执业药师《药学专业知识一》估分(考生回忆版)
2023年执业药师《药学专业知识一》真题
2024年执业药师《药学专业知识一》估分(考生回忆版)
2025年执业药师《药学专业知识一》真题