首页
考研
最新考研题库
中外美术史23新版
建筑类
二级建造师
一级建造师
一级造价工程师
监理工程师
安全工程师
一级消防工程师
消防设施操作员
医学类
主治类
执业药师
护师(初级)资格证考试
主管护师(中级)资格证考试
护士资格证考试
医师类
中药学类
金融类
基金从业资格
银行从业资格
证券从业资格
期货从业资格
银行招聘考试
财会类
初级经济师
中级经济师
初级会计师
中级会计师
注册会计师
税务师
资产评估师
教师类
中学教师笔试
小学教师笔试
幼儿教师笔试
幼儿结构化面试
幼儿专业面试
中小学结构化面试
学历提升
成考(专升本)
成考(高起本、高起专)
自考
网校课程
登录
注册好礼
我的主页
我的提问
我的回答
退出
当前位置:
首页
>
建设工程项目管理
>
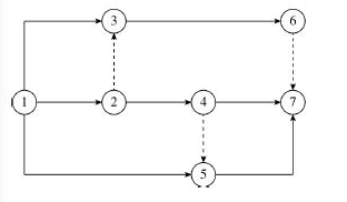
某工程双代号网络图如下图所示,图中存在的错误是()
单选
某工程双代号网络图如下图所示,图中存在的错误是()
A 编号节点混乱
B 存在逆向箭线
C 存在多余的虚箭线
D 存在多个重点节点
正确答案
C
查看解析
搜索
相关试题
单选
建设工程项目决策阶段的管理主体是( )
A 投资方和设计方 B 开发方和投资方 C 开发方和设计方 D 开发方和供货方
查看
单选
由施工方自行确定的项目管理目标是()。
A 环保 B 安全 C 质量 D 成本
查看
单选
设计单位项目负责人应参加验收的是( )分部工程
A 防水 B 装饰装修 C 节能 D 设备安装
查看
单选
下列施工质量控制活动中,属于事中控制的是( )
A 设置质量管理点 B 质量活动结果评价 C 工序质量检查 D 编制施工质量计划
查看
单选
按建筑安装工程费用构成要素划分,应计入企业管理费的是( )。
A 社会保险费 B 住房公积金 C 工伤保险费 D 劳动保护费
查看
单选
施工项目投标保证金有效期应当与( )一致。
A 投标截止日期 B 中标通知书发出日期 C 投标有效期 D 评标报告*
查看
单选
设备管理预警属于安全生产管理预警体系要素中( )的内容。
A 外部环境预警系统 B 预警信息管理系统 C 事故预警系统 D 内部管理不良预警系统
查看
单选
成本计划编制过程中,可按( )编制“时间-成本累积曲线”成本计划。
A 工程实施阶段 B 成本组成 C 项目结构 D 工程量清单
查看
单选
采用增加劳务分包队伍处理合同偏差,属于调整措施中的( )。
A 经济 B 组织 C 合同 D 技术
查看
单选
合理划分施工区段,属于施工生产要素质量控制中的( )。
A 施工人员 B 工艺技术方案 C 材料设备 D 施工环境因素
查看
刷题小程序
热门试卷
2021年一级建造师考试《建设工程项目管理》真题及解析
2020年一级建造师考试《建设工程项目管理》真题及解析
2019年一级建造师考试《建设工程项目管理》真题及解析
2018年一级建造师考试《建设工程项目管理》真题及解析
2022年一级建造师《项目管理》真题
2022年一级建造师延考《建设工程项目管理》真题
2023年一级建造师延考《建设工程项目管理》真题
2023年一级建造师考试《建设工程项目管理》真题及解析
2024年一级建造师考试《建设工程项目管理》真题及解析
2025年一级建造师考试《建设工程项目管理》真题及解析