首页
考研
最新考研题库
中外美术史23新版
建筑类
二级建造师
一级建造师
一级造价工程师
监理工程师
安全工程师
一级消防工程师
消防设施操作员
医学类
主治类
执业药师
护师(初级)资格证考试
主管护师(中级)资格证考试
护士资格证考试
医师类
中药学类
金融类
基金从业资格
银行从业资格
证券从业资格
期货从业资格
银行招聘考试
财会类
初级经济师
中级经济师
初级会计师
中级会计师
注册会计师
税务师
资产评估师
教师类
中学教师笔试
小学教师笔试
幼儿教师笔试
幼儿结构化面试
幼儿专业面试
中小学结构化面试
学历提升
成考(专升本)
成考(高起本、高起专)
自考
网校课程
登录
注册好礼
我的主页
我的提问
我的回答
退出
当前位置:
首页
>
安全生产管理
>
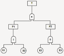
某生产三甲胺盐酸盐化工厂,由于一装置突然停机而造成整条生产线停产。为了诊断故障,进行了故障树分析(如下图所示)。其基本事
单选
某生产三甲胺盐酸盐化工厂,由于一装置突然停机而造成整条生产线停产。为了诊断故障,进行了故障树分析(如下图所示)。其基本事件发生的概率分别为 q1=0.03,q2=0.02,q3=0.05。该装置突然停机(顶上事件)T发生的概率是()。
A 0.01853
B 0.02153
C 0.01812
D 0.02147
正确答案
D
查看解析
搜索
相关试题
单选
某厂氧化铝焙烧车间的一名电工调整至磨碎车间综合班的电工岗位,负责该电工调整后的安全教育培训工作的是( )。
A 磨碎车间 B 厂安全生产管理部门 C 综合班 D 特种作业培训机构
查看
单选
某公司一名员工驾驶叉车工作12年,未发生过事故,经原考核发证机关同意,该名员工特种作业证复审最长时间是( )。
A 1年1次 B 2年1次 C 6年1次 D 8年1次
查看
单选
甲省乙市丙县的某化工企业,位于本省丁市戊县的分公司发生危险化学品爆炸事故,造成2人死亡,10人重伤,直接经济损失200余万元,负责组织此次事故调查的是()
A 丁市人民政府 B 丙县人民政府 C 乙市人民政府 D 戊县人民政府
查看
单选
甲某从事屋面油毡铺设防水工作,长期接触沥青,可能导致的肿瘤是()
A 皮肤病 B 间皮瘤 C 鼻癌 D 白血病
查看
单选
某制冷企业使用的设备进行风险辨识和危险归类,根据第一类,第二类危险源的定义,属于第二类危险源的是 ()
A 高速旋转的压缩机 B 15t 液氨储罐 C 水压 0.6 Mpa 的高压管 D 腐蚀受损的安全阀
查看
单选
某精密机械制造厂对近10年发生的人身伤害类事故进行了统计分析,发现性格内向不爱说话的员工发生事故的概率相对较高,该企业决定在下一步........增加心理测试环
A 能量意外释放理论 B 事故轨迹交叉理论 C 瑞士奶酪模型理论 D 事故频发倾向理论
查看
单选
某疫苗生产企业对公司构架进行调整后,根据人员教育背景、工作经历和实际绩效,重新明确了每个部门和所有人员的安全生产分工,实现了安全生产责任的“横向到边,纵向到底”
A 动态相关性原则和3E原则 B 整分合原则和能级原则 C 安全第一原则和动力原则 D 封闭原则和行为原则
查看
单选
甲省乙市丙县的某企业发生一起火灾事故,当场5人死亡,5人重伤,重伤人员送往医院抢救。事故发生10日后,重伤的5人经医院救治无效死亡,负责组织此次事故调查的是()
A 丙县人民政府 B 甲省人民政府 C 乙市人民政府 D 国务院
查看
单选
根据《企业安全生产标准化基本规范》(GB/T33000),二级要素预测预警属于一级要素是( )
A 安全风险管控 B 目标职责 C 应急管理 D 现场管理
查看
单选
甲某一家企业的电焊工,劳动过程中需要进行个体防护,下列个体防护用品中,甲某无需佩戴的是( )。
A 耳塞 B 护目镜 C 绝缘鞋 D 防毒口罩
查看
刷题小程序
热门试卷
2021年注册安全工程师考试《安全生产管理》真题及答案
2020年注册安全工程师考试《安全生产管理》真题及答案
2019年安全工程师考试《安全生产管理知识》真题及答案
2018年安全工程师考试《安全生产管理知识》真题及答案
2017年安全工程师考试《安全生产管理知识》真题及答案
2022年注册安全工程师考试《安全生产管理》真题
2023年中级注册安全工程师《安全生产管理》真题估分卷
2024年中级注册安全工程师《安全生产管理》真题估分卷