首页
考研
最新考研题库
中外美术史23新版
建筑类
二级建造师
一级建造师
一级造价工程师
监理工程师
安全工程师
一级消防工程师
消防设施操作员
医学类
主治类
执业药师
护师(初级)资格证考试
主管护师(中级)资格证考试
护士资格证考试
医师类
中药学类
金融类
基金从业资格
银行从业资格
证券从业资格
期货从业资格
银行招聘考试
财会类
初级经济师
中级经济师
初级会计师
中级会计师
注册会计师
税务师
资产评估师
教师类
中学教师笔试
小学教师笔试
幼儿教师笔试
幼儿结构化面试
幼儿专业面试
中小学结构化面试
学历提升
成考(专升本)
成考(高起本、高起专)
自考
网校课程
登录
注册好礼
我的主页
我的提问
我的回答
退出
当前位置:
首页
>
西药学专业(一)
>
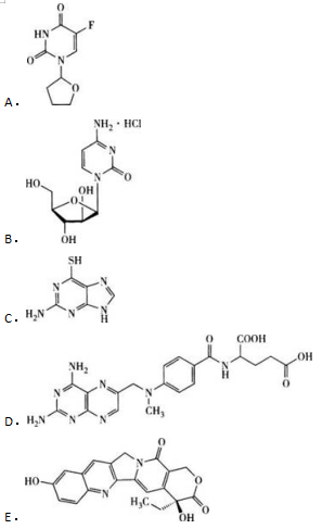
配伍选择题 属于尿嘧啶类的抗代谢抗肿瘤药是
单选
配伍选择题 属于尿嘧啶类的抗代谢抗肿瘤药是
A A
B B
C C
D D
E E
F F
G H
正确答案
A
查看解析
搜索
相关试题
单选
结构中不含有硫的四碳链,有哌啶甲苯结构,无拮抗雄激素作用的H2受体拮抗剂是
A 西咪替丁 B 雷尼替丁 C 法莫替丁 D 罗沙替丁 E 尼扎替丁
查看
单选
关于药典的说法,错误的是
A 药典是记载国家药品标准的主要形式 B 《中国药典》二部不收载化学药品的用法与用量 C 《美国药典》与《美国国家处方集》合并出版,英文缩写为USP-NF D 《日本药典》不收载原料药通则,英文缩写为JP E 《欧洲药典》第一卷收载有制剂通则但不收载制剂,英文缩写为EP
查看
单选
有关涂膜剂的不正确表述是
A 是一种可涂布成膜的外用胶体溶液制剂 B 使用方便 C 处方由药物、成膜材料和蒸馏水组成 D 制备工艺简单,无需特殊机械设备 E 常用的成膜材料有聚乙烯缩丁醛和火棉胶等
查看
单选
A 嘧啶环 B 咪唑环 C 鸟嘌呤环 D 吡咯环 E 吡啶环
查看
单选
下列说法中,与H1受体阻断剂类抗过敏药不符的是
A 盐酸苯海拉明是氨基醚类抗过敏药 B 氯苯那敏是丙胺类抗过敏药 C 酮替酚是三环类抗过敏药 D 西替利嗪是哌嗪类抗过敏药 E 依巴斯汀是乙二胺类抗过敏药
查看
单选
在溶剂化物中,药物的溶解度和溶出速度顺序为
A 无水物<水合物<有机溶剂化物 B 水合物<有机溶剂化物<无水物 C 无水物<有机溶剂化物<水合物 D 水合物<无水物<有机溶剂化物 E 有机溶剂化物<无水物<水合物
查看
单选
药物及其代谢物通过结构中的一些活泼基团与活性内源性小分子物质结合,药物被结合的基团不包括
A 苯基 B 羧基 C 氨基 D 杂环N原子 E 羟基
查看
单选
属于前药,在体内转化为喷昔洛韦发挥药效的是
A 更昔洛韦 B 泛昔洛韦 C 阿昔洛韦 D 拉米夫定 E 奥司他韦
查看
单选
当一种药物与另一种药物合用时,其作用小于单用时的作用,此作用为
A 相减作用 B 抵消作用 C 化学性拮抗 D 生化性拮抗 E 脱敏作用
查看
单选
艾司奥美拉唑是奥美拉唑的S-异构体,其与R-异构体之间的关系是
A 具有不同类型的药理活性 B 具有相同的药理活性和作用持续时间 C 在体内经不同细胞色素酶代谢 D 一个有活性,另一个无活性 E 一个有药理活性,另一个有毒性作用
查看
刷题小程序
热门试卷
《药学专业知识一》模拟1
《药学专业知识一》模拟2
《药学专业知识一》模拟3
《药学专业知识一》模拟4
《药学专业知识一》模拟5
《药学专业知识一》模拟6
《药学专业知识一》模拟7
《药学专业知识一》模拟8
《药学专业知识一》模拟9
《药学专业知识一》模拟10
《药学专业知识一》模拟11
《药学专业知识一》模拟12
执业药师《西药学专业知识(一)》预测一
执业药师《西药学专业知识(一)》预测二
执业药师《西药学专业知识(一)》预测三