首页
考研
最新考研题库
中外美术史23新版
建筑类
二级建造师
一级建造师
一级造价工程师
监理工程师
安全工程师
一级消防工程师
消防设施操作员
医学类
主治类
执业药师
护师(初级)资格证考试
主管护师(中级)资格证考试
护士资格证考试
医师类
中药学类
金融类
基金从业资格
银行从业资格
证券从业资格
期货从业资格
银行招聘考试
财会类
初级经济师
中级经济师
初级会计师
中级会计师
注册会计师
税务师
资产评估师
教师类
中学教师笔试
小学教师笔试
幼儿教师笔试
幼儿结构化面试
幼儿专业面试
中小学结构化面试
学历提升
成考(专升本)
成考(高起本、高起专)
自考
网校课程
登录
注册好礼
我的主页
我的提问
我的回答
退出
当前位置:
首页
>
西药学专业(一)
>
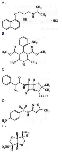
配伍选择题 具有β一内酰胺结构,不能口服,有过敏反应的药物为
单选
配伍选择题 具有β一内酰胺结构,不能口服,有过敏反应的药物为
A A
B B
C C
D D
E E
F F
G H
正确答案
C
查看解析
搜索
相关试题
单选
药物剂型进行分类的方法不包括
A 按给药途径分类 B 按分散系统分类 C 按制法分类 D 按形态分类 E 按药品名称分类
查看
单选
药物的亲脂性与生物活性的关系是
A 增强亲脂性,有利于吸收,活性增强 B 降低亲脂性,不利于吸收,活性下降 C 增强亲脂性,使作用时间缩短 D 降低亲脂性,使作用时间延长 E 适度的亲脂性有最佳活性
查看
单选
酚类药物降解的主要途径是
A 脱羧 B 水解 C 聚合 D 氧化 E 光学异构化
查看
单选
立体异构对药效的影响不包括
A 几何异构 B 对映异构 C 构象异构 D 结构异构 E 官能团间的距离
查看
单选
药代动力学是研究
A 药物对机体的影响 B 机体对药物的处置过程 C 药物与机体间相互作用 D 药物的调配 E 药物的加工处理
查看
单选
关于主动转运的错误表述是
A 必须借助载体或酶促系统 B 药物从膜的低浓度一侧向高浓度一侧转运的过程 C 需要消耗机体能量 D 可出现饱和现象和竞争抑制现象 E 有结构特异性,但没有部位特异性
查看
单选
主要用作片剂黏合剂的是
A 羧甲基淀粉钠 B 羧甲基纤维素钠 C 交联聚维酮 D 干淀粉 E 微粉硅胶
查看
单选
普通片剂的崩解时限要求为
A 15min B 30min C 3min D 5min E 120min
查看
单选
下列物质中不具有防腐作用的物质是
A 苯甲酸 B 山梨酸 C 吐温80 D 苯扎溴铵 E 尼泊金甲酯
查看
单选
在药物分子中引入哪种基团可使亲脂性增加
A 羟基 B 烃基 C 氨基 D 羧基 E 磺酸基
查看
刷题小程序
热门试卷
《药学专业知识一》模拟1
《药学专业知识一》模拟2
《药学专业知识一》模拟3
《药学专业知识一》模拟4
《药学专业知识一》模拟5
《药学专业知识一》模拟6
《药学专业知识一》模拟7
《药学专业知识一》模拟8
《药学专业知识一》模拟9
《药学专业知识一》模拟10
《药学专业知识一》模拟11
《药学专业知识一》模拟12
执业药师《西药学专业知识(一)》预测一
执业药师《西药学专业知识(一)》预测二
执业药师《西药学专业知识(一)》预测三