首页
考研
最新考研题库
中外美术史23新版
建筑类
二级建造师
一级建造师
一级造价工程师
监理工程师
安全工程师
一级消防工程师
消防设施操作员
医学类
主治类
执业药师
护师(初级)资格证考试
主管护师(中级)资格证考试
护士资格证考试
医师类
中药学类
金融类
基金从业资格
银行从业资格
证券从业资格
期货从业资格
银行招聘考试
财会类
初级经济师
中级经济师
初级会计师
中级会计师
注册会计师
税务师
资产评估师
教师类
中学教师笔试
小学教师笔试
幼儿教师笔试
幼儿结构化面试
幼儿专业面试
中小学结构化面试
学历提升
成考(专升本)
成考(高起本、高起专)
自考
网校课程
登录
注册好礼
我的主页
我的提问
我的回答
退出
当前位置:
首页
>
中学数学
>
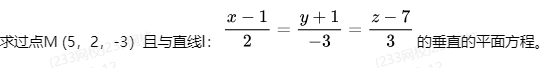
简答题:
分析
简答题:
正确答案
2x-3y+3z+5=0
查看解析
搜索
相关试题
单选
A A B B C C D D
查看
单选
A A B B C C D D
查看
单选
两个n维向量a与β不能进行的运算是()。
A a+β B a-β C a.β D a÷β
查看
单选
A A B B C C D D
查看
单选
点M(2,-3,1)关于坐标原点的对称点是()。
A (-2,3, -1) B (-2,-3,1) C (2,-3,-1) D (-2,3,1)
查看
单选
A A B B C C D D
查看
单选
天支地干是中国传统纪年的一种方式,俗称六十一甲子(意为60年一个循环)蕴含的数学概念是()。
A 中位数 B 最大公约数 C 最小公倍数 D 平均数
查看
单选
义务教育阶级数学命题的主要类型包括()。
A 基本事实、定理、公式 B 定理、公式、符号 C 基本事实、定理、图形 D 定理、公式、证明
查看
分析
简答题:
查看
分析
简答题:
查看
刷题小程序
热门试卷
2017上半年教师资格证考试《数学学科知识与教学能力》(初级中学)真题
2017下半年教师资格证考试《数学学科知识与教学能力》(初级中学)真题
2018上半年教师资格证考试《数学学科知识与教学能力》(初级中学)真题
2018下半年教师资格证考试《数学学科知识与教学能力》(初级中学)真题
2019上半年教师资格证考试《数学学科知识与教学能力》(初级中学)真题
2019下半年教师资格证考试《数学学科知识与教学能力》(初级中学)真题
2020年教师资格证考试《数学学科知识与教学能力》(初级中学)真题
2021上半年教师资格证考试《数学学科知识与教学能力》(初级中学)真题
2021下半年教师资格证考试《数学学科知识与教学能力》(初级中学)真题
2022上半年教师资格证考试《数学学科知识与教学能力》(初级中学)真题
2022下半年教师资格证考试《数学学科知识与教学能力》(初级中学)真题
2023上半年教师资格证考试《数学学科知识与教学能力》(初级中学)真题
2017上半年教师资格证考试《数学学科知识与教学能力》(高级中学)真题
2017下半年教师资格证考试《数学学科知识与教学能力》(高级中学)真题
2018上半年教师资格证考试《数学学科知识与教学能力》(高级中学)真题