首页
考研
最新考研题库
中外美术史23新版
建筑类
二级建造师
一级建造师
一级造价工程师
监理工程师
安全工程师
一级消防工程师
消防设施操作员
医学类
主治类
执业药师
护师(初级)资格证考试
主管护师(中级)资格证考试
护士资格证考试
医师类
中药学类
金融类
基金从业资格
银行从业资格
证券从业资格
期货从业资格
银行招聘考试
财会类
初级经济师
中级经济师
初级会计师
中级会计师
注册会计师
税务师
资产评估师
教师类
中学教师笔试
小学教师笔试
幼儿教师笔试
幼儿结构化面试
幼儿专业面试
中小学结构化面试
学历提升
成考(专升本)
成考(高起本、高起专)
自考
网校课程
登录
注册好礼
我的主页
我的提问
我的回答
退出
当前位置:
首页
>
中学数学
>
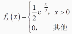
问答题 设顾客在某银行窗口等待服务的时间X(min)的概率密度为 用变量Y表示顾客对银行服务质量的评价值若顾客等待时间不
分析
问答题 设顾客在某银行窗口等待服务的时间X(min)的概率密度为
用变量Y表示顾客对银行服务质量的评价值若顾客等待时间不超过5(min)
则评价值为Y =1;否则,评价值为y=-1,即
(1)求X的分布函数。 (2)求Y的分布律。
正确答案
(1)
(2)
查看解析
搜索
相关试题
单选
单选题在空间直角坐标系下,直线 与平面3x- 2y-z+15=0的位置关系是()
A 相交且垂直 B 相交不垂直 C 平行 D 直线在平面上
查看
单选
单选题 使得函数 一致连续的x取值范围是()
A A B B C C D D E E
查看
单选
单选题
A A B B C C D D E E
查看
单选
单选题方程 的整数解的个数是()
B 1 C 2 D 3
查看
单选
单选题
A A B B C C D D E E
查看
单选
抛掷两粒正方体骰子(每个面上的点数分别为1, 2, .... 6),假定每个面朝上的可能性相同,观察向上的点数,则点数之和等于5的概率为()
A 5/36 B 1/9 C 1/12 D 1/18
查看
单选
一个五边形与其经过位似变换后的对应图形之间不满足下列关系的是( )。
A 对应线段成比例 B 对应点连线共点 C 对应角不相等 D 面积的比等于对应线段的比的平方
查看
单选
A 空间观念 B 运算能力 C 数据分析观念 D 应用意识
查看
分析
问答题 已知平面上一椭圆,长半轴长为a,短半轴长为b,0<b<a,求该椭圆绕着长轴旋转一周所得到的旋转体的体积。
查看
分析
问答题 某教师在引领学生探究"圆周角定理”时,首先进行画图、测量等探究活动,获得对圆周角和圆心角大小关系的猜想;进一步寻找证明猜想的思路并进行严格的证明;最后,
查看
刷题小程序
热门试卷
2017上半年教师资格证考试《数学学科知识与教学能力》(初级中学)真题
2017下半年教师资格证考试《数学学科知识与教学能力》(初级中学)真题
2018上半年教师资格证考试《数学学科知识与教学能力》(初级中学)真题
2018下半年教师资格证考试《数学学科知识与教学能力》(初级中学)真题
2019上半年教师资格证考试《数学学科知识与教学能力》(初级中学)真题
2019下半年教师资格证考试《数学学科知识与教学能力》(初级中学)真题
2020年教师资格证考试《数学学科知识与教学能力》(初级中学)真题
2021上半年教师资格证考试《数学学科知识与教学能力》(初级中学)真题
2021下半年教师资格证考试《数学学科知识与教学能力》(初级中学)真题
2022上半年教师资格证考试《数学学科知识与教学能力》(初级中学)真题
2022下半年教师资格证考试《数学学科知识与教学能力》(初级中学)真题
2023上半年教师资格证考试《数学学科知识与教学能力》(初级中学)真题
2017上半年教师资格证考试《数学学科知识与教学能力》(高级中学)真题
2017下半年教师资格证考试《数学学科知识与教学能力》(高级中学)真题
2018上半年教师资格证考试《数学学科知识与教学能力》(高级中学)真题