首页
考研
最新考研题库
中外美术史23新版
建筑类
二级建造师
一级建造师
一级造价工程师
监理工程师
安全工程师
一级消防工程师
消防设施操作员
医学类
主治类
执业药师
护师(初级)资格证考试
主管护师(中级)资格证考试
护士资格证考试
医师类
中药学类
金融类
基金从业资格
银行从业资格
证券从业资格
期货从业资格
银行招聘考试
财会类
初级经济师
中级经济师
初级会计师
中级会计师
注册会计师
税务师
资产评估师
教师类
中学教师笔试
小学教师笔试
幼儿教师笔试
幼儿结构化面试
幼儿专业面试
中小学结构化面试
学历提升
成考(专升本)
成考(高起本、高起专)
自考
网校课程
登录
注册好礼
我的主页
我的提问
我的回答
退出
当前位置:
首页
>
中学数学
>
问答题 已知向量口=(2,1),b=(X,Y)。 (1)若X∈{-1,0,1,2),Y∈{-1,0,1),求向量a//b
分析
问答题 已知向量口=(2,1),b=(X,Y)。
(1)若X∈{-1,0,1,2),Y∈{-1,0,1),求向量a//b的概率;
(2)若X∈[-1,2],Y∈[-1,1],求向量a,b的夹角是钝角的概率。
正确答案
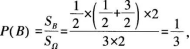
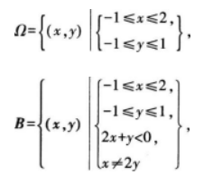
(1)设“a//b”为事件A,由a≠b,得x=2y。基本事件空间设为Ω,包含的基本事件共种,当x=0,y=0或x=2,y=1时,满足a//b,即A中包含两个基本事件,故P(A)=2/12=1/6,即向量a∥b的概率为1/6。 (2)设“a,b的夹角是钝角”为事件B,由口,b的夹角是钝角,可得a·b<0,即2x+y<0,且x≠2y。基本事件空间为
作事件Ω,B表示的不等式区域,如下:
可得
即 a,b的夹角是钝角的概率为1/3。
查看解析
搜索
相关试题
单选
下列关于《义务教育数学课程标准(2011年版)》中初中数学课程“基本理念”的表述错误的是( )
A 将信息技术作为学生从事数学学习活动的主要根据 B 课程内容标准既要反映社会的需要、数学的特点,也要符合学生的认知规律 C 教学活动是师生积极参与、交往互动、共同发展的过程 D 评价既要关注学生学习的结果,也要重视学习的过程
查看
单选
如下所示4个命题中假命题的个数为( )
B 1 C 2 D 3
查看
单选
设a∈Z,且0<a<13,若512012+0能被13整除,则a=( )
B 1 C 11 D 12
查看
单选
下列说法正确的是( )
A 使用课堂提问就是启发式教学 B 课堂提问就是教师问、学生答 C 所有的课堂提问都应该有一个明晰的正确答案 D 课堂提问要给学生留出一定的思考时间
查看
单选
教师通过语言向学生系统传授知识的教学方法是( )
A 讲授法 B 讨论法 C 自学辅导法 D 发现法
查看
单选
已知两个非零向量a,b满足|a+b|=|a-b|,则下面结论正确的是( )
A a//b B a⊥b C a+b=0 D a+b=a-b
查看
单选
直线与x轴交于点P,已知点P在圆2+(y+2)2=25内,过点P的一条直径被点P分为两段,则较短的一段与较长的一段的比值为( )
A 1/9 B 1/10 C 1/4 D 4/5
查看
单选
A π /2 B π/4 C 7π/12 D 0
查看
分析
问答题
查看
分析
问答题
查看
刷题小程序
热门试卷
初中 教师资格《数学学科知识与教育能力》模拟考试1
初中 教师资格《数学学科知识与教育能力》模拟考试2
初中 教师资格《数学学科知识与教育能力》模拟考试3
初中 教师资格《数学学科知识与教育能力》模拟考试4
初中 教师资格《数学学科知识与教育能力》模拟考试5
初中 教师资格《数学学科知识与教育能力》模拟考试6
初中 教师资格《数学学科知识与教育能力》模拟考试7
初中 教师资格《数学学科知识与教育能力》模拟考试8
高中 教师资格《数学学科知识与教育能力》模拟考试1
高中 教师资格《数学学科知识与教育能力》模拟考试2
高中 教师资格《数学学科知识与教育能力》模拟考试3
高中 教师资格《数学学科知识与教育能力》模拟考试4
高中 教师资格《数学学科知识与教育能力》预测考试1
高中 教师资格《数学学科知识与教育能力》预测考试2
高中 教师资格《数学学科知识与教育能力》预测考试3