1.招标人对投标人进行资格预审应包括以下内容:
(1)投标人签订合同的权利:营业执照和资质证书;
(2)投标人履行合同的能力:人员情况、技术装备情况、财务状况等;
(3)投标人目前的状况:投标资格是否被取消、账户是否被冻结等;
(4)近三年情况:是否发生过重大安全事故和质量事故;
(5)法律、行政法规规定的其他内容。
2.做法一中该承包商运用了多方案报价法,该方法运用不当,因为运用该报价技巧时,必须对原方案(本案例指业主的工期要求)报价,而该承包商在投标时仅说明了该工期要求难以实现,却并未报出相应的投标价。
3. 该承包商运用了增加建议方案法,该方法运用得当,因为通过对两个结构体系方案的技术经济分析和比较(这意味着对两个方案均报了价),论证了建议方案(框架体系)的技术可行性和经济合理性,对业主有很强的说服力。
4.该承包商运用了不平衡报价法,承包商将属于前期的基础工程和下部结构工程的单价调高,而将属于后期工程的上部结构工程的单价调低,可以在施工的早期阶段收到较多的工程款,从而可以提高承包商所得工程款的现值。
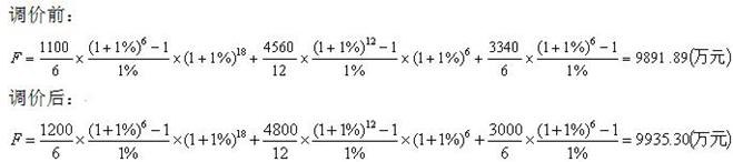
以竣工时点进行折现,
F=A1(F/A,1%,6)(F/P,1%,18)+A2(F/A,1%,12)(F/P,1%,6)+A3(F/A,1%,6)

结论:采用了不平衡报价法后,终值增加了=9935.30-9891.89=43.41(万元)
5.该承包商运用了突然降价法,该方法运用得当,原投标文件的递交时间比规定的投标截止时间仅提前1小时,这既是符合常理的,又为竞争对手调整、确定最终报价留有一定的时间,起到了迷惑竞争对手的作用。若提前时间太多,会引起竞争对手的怀疑,而在开标前1小时突然递交一份补充文件,这时竞争对手已不可能再调整报价了。
“招标单位的有关工作人员拒收承包商的补充材料”不妥,因为承包商在投标截止时间之前所递交的任何正式书面文件都是有效文件,都是投标文件的有效组成部分,也就是说,补充文件与原投标文件共同构成一份投标文件,而不是两份相互独立的投标文件。