首页
考研
最新考研题库
中外美术史23新版
建筑类
二级建造师
一级建造师
一级造价工程师
监理工程师
安全工程师
一级消防工程师
消防设施操作员
医学类
主治类
执业药师
护师(初级)资格证考试
主管护师(中级)资格证考试
护士资格证考试
医师类
中药学类
金融类
基金从业资格
银行从业资格
证券从业资格
期货从业资格
银行招聘考试
财会类
初级经济师
中级经济师
初级会计师
中级会计师
注册会计师
税务师
资产评估师
教师类
中学教师笔试
小学教师笔试
幼儿教师笔试
幼儿结构化面试
幼儿专业面试
中小学结构化面试
学历提升
成考(专升本)
成考(高起本、高起专)
自考
网校课程
登录
注册好礼
我的主页
我的提问
我的回答
退出
当前位置:
首页
>
建设工程造价管理
>
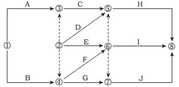
某分部工程双代号网络计划如下图所示,图中的错误是( )。
单选
某分部工程双代号网络计划如下图所示,图中的错误是( )。
A 工作代号重复
B 存在多个终点节点
C 多个起点节点
D 存在循环回路
正确答案
C
查看解析
搜索
相关试题
单选
根据《造价工程师注册管理办法》的规定,造价工程师初始注册和续期注册的有效期限( )。
A 分别为4年和2年 B 分别为4年和1年 C 均为2年 D 均为4年
查看
单选
在一般情况下,只适用于项目财务分析的是( )。
A 敏感性分析 B 盈亏平衡分析 C 概率分析 D 风险分析
查看
单选
政府部门、行业协会、建设单位、施工单位及咨询机构通过协同工作,共同完成工程造价 控制任务,属于建设工程全面造价管理中的( )。
A 全过程造价管理 B 全方位造价管理 C 全寿命期造价管理 D 全要素造价管理
查看
单选
生产性建设项目的总投资包括( )两部分。
A 建安工程投资和设备、工器具购置费 B 建安工程投资和工程建设其他费用 C 固定资产投资和流动资产投资 D 固定资产静态投资和动态投资
查看
单选
全过程造价管理覆盖了建设过程的各个阶段,下列选项中,不属于设计阶段管理的是( )。
A 限额设计管理 B 投资估算管理 C 方案比选管理 D 概预算编制管理
查看
单选
建设工程项目投资决策后,控制工程造价的关键在于( )。
A 工程设计 B 工程施工 C 材料设备采购 D 施工招标
查看
单选
关于建设工程全面造价管理,以下说法正确的是( )。
A 建设工程全方位造价管理是指要实现工程成本、工期、质量、安全与环保的集成管理 B 政府部门,行业协会,建设单位、施工企业及咨询机构通过协调工作,共同完成工程造价控制任务,属于全面造价管理 C 项目经济评价属于工程设计阶段工程造价管理的主要内容 D 全面造价管理是指有效地利用专业知识与技术,对资源、成本、盈利和风险进行筹划和控制
查看
单选
下列工作中,属于工程发承包阶段造价管理工作内容的是( )。
A 处理工程变更 B 审核工程概算 C 进行工程计量 D 编制工程量清单
查看
单选
建设工程全要素造价管理的核心是( )。
A 工程参建各方建立完善的工程造价管理协同工作机制 B 协调和平衡工期、质量、安全、环保与成本之间的对立统一关系 C 采取有效措施控制工程变更和索赔 D 做好前期策划和方案设计,实现建设工程全寿命期成本最小化
查看
单选
下列( )属于工程造价控制的经济措施。
A 明确项目组织机构 B 重视设计多方案的比选 C 动态地比较造价的计划值和实际值 D 严格审查施工图设计
查看
刷题小程序
热门试卷
2022年一级造价工程师考试《建设工程造价管理》预习卷
2021年一级造价工程师考试《建设工程造价管理》密训卷
2021年一级造价工程师考试《建设工程造价管理》冲刺卷(二)
2021年一级造价工程师考试《建设工程造价管理》冲刺卷(一)
2021年一级造价工程师考试《建设工程造价管理》模拟卷(二)
2021年一级造价工程师考试《建设工程造价管理》模拟卷(一)
2022年一级造价工程师考试《建设工程造价管理》模拟卷(一)
一级造价工程师《建设工程造价管理》模拟卷一
一级造价工程师《建设工程造价管理》模拟卷二
一级造价工程师《建设工程造价管理》模拟卷三
一级造价工程师《建设工程造价管理》模拟卷四
一级造价工程师《建设工程造价管理》模拟卷五
一级造价工程师《建设工程造价管理》模拟卷六
一级造价工程师《建设工程造价管理》模拟卷七
一级造价工程师《建设工程造价管理》模拟卷八